Ходовая часть является экипажной основой автомобиля. Она состоит из несущей системы, передней и задней осей, именуемых мостами, колес с шинами и подвески, соединяющей мосты с несущей системой (рамой или кузовом). Расчет производится в основном балки мостов, поворотного кулака, шкворня, рессор и подвески.
Расчет балки моста, поворотного кулака и шкворня производят для двух случаев нагружения моста: при торможении автомобиля с максимальным замедлением и при заносе. Расчетные схемысоставляют с допущениями: считают геометрические оси цапфсовпадающими, оси шкворней вертикальными, балку прямой (рисунок 6.10).
Во время торможения на передний мост действуют две группы сил. К первой группе относятся вертикальные нагрузки G' и G" и толкающие усилия Т и Т", приложенные к площадкам крепления рессор, ко второй группе – нормальные Z' и Z" и продольные Р 'τ1и Р ''τреакции дороги, приложенные к колесам. При упрощенных расчетах (где Z 1-нормальная реакция можно считать, что Z '= Z'' = 0,5 Z 1; Р 'τ1= Р ''τ= 0,5 φZ1 дороги на переднюю ось автомобиля, соответствующая статическому распределению силы тяжести автомобиля по осям).
|
|
|

Рисунок 6.10 Схема для расчета балки переднего моста
и эпюры моментов.
При заносе силы Т и Р τотсутствуют, но на переднюю ось через рессоры действует боковая сила Ру1, приложенная на высоте hg центра тяжести автомобиля, а на колеса, помимо нормальных реакций, – боковые реакции Y' и Y", препятствующие скольжению автомобиля вбок.
Балка моста при торможении изгибается в вертикальной плоскости моментом М в, в горизонтальной – моментом М r, а участки моста от головок до площадок для крепления рессор скручиваются моментом М τ. Эпюры этих моментов представлены на рисунке 6.10. Максимальные значения моментов
Мв = 0,5Z1 l 2; Мr = 0,5φZ1 l 2; Мτ= Pτr = 0,5φZ1 l 2. (6.38)
Согласно эпюрам опасными при торможении являются сечения балки под площадками крепления рессор. Условия прочности этих сечений при изгибе и кручении следующие:
МПа; (6.39)
МПа, (6.40)
где Wив, Wиг и Wк – моменты сопротивления опасных сечений балки соответственно при изгибе в вертикальной и горизонтальной плоскостяхи кручении (без учета наличия площадки крепления рессоры).
Во время заноса балка изгибается только в вертикальной плоскости поддействием момента Zl + Yr. Согласно эпюре этих моментов (рисунок 6.10)при заносе возможным опасным сечением для той половины балки, в сторону которой действует сила Ру1, является сечение А – А по шкворневому отверстию в головке, а для противоположной половины балки – сечение Б – Б под площадкой крепления рессоры. Изгибающие моменты в
этих сечениях
|
|
|
МнА = Z′ l1 – Y′ r = Z′ (l1 – φ r) = (Z1/2) [1+(2φhg/B)](l1 – φr) (6.41)
МнБ = Z′ l2 + Y′′ r = Z′′ (l2 + φ r) = (Z1/2) [1+(2φhg/B)](l2 + φr)
Из опыта эксплуатации автомобилей известно, что у поворотного кулака опасным является сечение А – А (рисунок 6.11) в месте перехода цапфы 1 во фланец 2 крепления опорного диска тормоза. При торможении момент Мτвоспринимается этим диском, поэтому в сечении А – А возникает только напряжение от изгиба
< 550 МПа. (6.42)
При заносе изгибающие моменты в опасных сечениях правого и левого поворотных кулаков различны. Их определяют по формулам (6.41),в которые вместо l1 и 12подставляют l3.
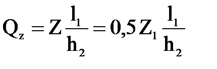
Шкворень нагружен по концам силами, возникающими при взаимодействии с поворотным кулаком (рисунок 6.11, б и в). При торможении момент Z′l1 нормальной реакции дороги уравновешивается моментом пары силQz, действующих на кулак со стороны шкворня, т.е.
. (6.43)

Рисунок 6.11 Схемы для расчета поворотного кулака и шкворня:
а – расчетная; б и в – сил, действующих на шкворень
соответственно в поперечной и продольной плоскостях автомобиля.
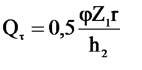
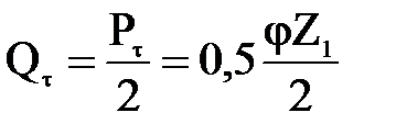
Тормозная сила Рτ, приведенная к оси цапфы поворотного кулака, уравновешивается силами Qτ, действующими на кулак со стороны шкворня, а момент Рτ r – действием пары сил Qм. Исходя из этого
;
. (6.44)
Из рисунка 6.11, б и в следует, что наиболее нагружен при торможении нижний конец шкворня, на который действует результирующая сила
. (6.45)
При повороте и заносе силы и моменты действуют только в поперечной плоскости. Условия равновесия правого и левого поворотных кулаков различны:
. (6.46)
Шкворень рассчитывают на изгиб и срез в сечении, совпадающем с нижним торцом головки балки моста, а втулку шкворня – на смятие. За расчетное значение берут наибольшую из нагрузок (Qторм или Qзан). Условия прочности следующие:
МПа;
МПа; (6.47)
МПа. (6.48)
Расчет рессорной подвески. Его можно разделить на три части:
1) построение желаемой упругой характеристики подвески; 2) расчет рессоры; 3) расчет деталей крепления рессоры к несущей системе автомобиля. Ниже дается описание первых двух частей расчета.
Построение упругой характеристики рессорной подвески производят с упрощениями: пренебрегают трением в подвеске и действием неподрессоренных масс; считают упругую характеристику рессоры прямолинейной; исходят из того, что на колесо действует только нормальная реакция дороги Z; сила, деформирующая рессору, равна реакции Z, а прогиб рессоры равен ходу колеса.
Определяют статическое значение нормальной реакции для ненагруженного автомобиля Z′c. Задаются желаемой частотой собственных колебаний подрессоренных масс, определяют статический ход колеса h'c, обеспечивающий необходимую плавность хода ненагруженного автомобиля. Откладывая полученные значения Z'cи h'c (рисунок 6.12, а), проводят прямую ОА, представляющую собой ориентировочную упругую характеристику проектируемой подвески.
Определяют нормальную статическую реакцию на колесо при полной нагрузке на автомобиль Z''си находят по графику соответствующий ей ход h''c колеса.

Рисунок 6.12 Упругие характеристики зависимой рессорной подвески:
а – одинарная рессора; б – двойная рессора
При нагрузке Zmax и линейной характеристике рессоры динамический ход колеса получается неприемлемо большим. Для его ограничения устанавливают деформируемый резиновый буфер. Это позволяет задаться величиной динамического хода. Для легковых автомобилей принимают hд = 0,5 hc; для автобусов hд = 0,75 hс; для грузовых автомобилей hд = 1,0 hс. Откладывая значения Zmax и hд на графике находят точки D и С характеристики (рисунок 6.12).
Высокие динамические возможности подвески реализуются сравнительно редко, поэтому допускается значительное увеличение жесткости в конце хода сжатия. Учитывая это, задают деформацию буфера в пределах fб = (0,35÷0,40) hд. Отложив значение fб на графике, находят точку В (рисунок 6.12), соответствующую динамическому ходу, при котором вступает в действие буфер. Соединив точки В и D получают желаемую упругую характеристику OBD проектируемой подвески. По ней определяют расчетные нагрузку Рр и деформацию fб для рессоры, а также необходимую жесткость буфера сб= tg β.
|
|
|
Нагрузки, действующие на заднюю подвеску ненагруженного и нагруженного грузового автомобиля, различаются значительно, вследствие чего для нагруженного автомобиля статический прогиб получается неприемлемо большим. Это и вызывает необходимость применения дополнительной рессоры. Принимают, что дополнительная рессора включается в работу при нагрузке
, (6.49)
где
– часть веса соответственно нагруженного и ненагруженного автомобиля, приходящаяся на задний мост.
На ориентировочной упругой характеристике (рисунок 6.12, б)отмечают точку В с ординатой Zc''', соответствующую началу вступленияв действие дополнительной рессоры.
Установлено, что жесткости дополнительной сдоп и основной сосн = tgα рессор должны быть связаны зависимостью
, (6.50)
исходя из которой и строят участок характеристики, на котором обе рессоры должны работать совместно. Для этого через точку В проводят линию BE, пересекающую линию ОБ под углом γ = arctg cдoп из построенного графика находят ход h''c колеса при полной нагрузке на колесо и проверяют достигается ли необходимая плавность хода.
Последний участок характеристики, когда вступает в действие резиновыйбуфер, строят так же, как для передней рессоры.
Расчет рессоры производят только на изгиб по приближенным формулам, проверяя, выполняется ли условие необходимой упругости рессоры
(6.51)
и условие прочности рессоры
МПа, (6.52)
где δ – коэффициент деформации, учитывающий отклонение формы рессорыот балки равного сопротивления; δ = 1,25÷1,45(меньшие значения соответствуют рессорам с несколькими листами одинаковой длины);
Рр и fр – расчетная нагрузка (в МПа)и деформация, которые определяют по упругой характеристике;
|
|
|
l′ – приведенная длина рессоры;
;
Е – модуль упругости первого рода; Е = 2 ∙ 105 МПа;
l – длина рессоры, м; bи s – ширина (м) и толщина(м) листа;
i – число листов.
Длину рессоры выбирают в пределах l = (0,30 ÷ 0,35) Lгде L – база автомобиля. Размеры l1и l2 (рисунок 6.13)устанавливают при предварительной компоновке подвески. Затем определяют совместным решением уравнений (6.51) и (6.52) толщину листа, а по формуле (6.52) – ширину листа. Полученные значения sи bуточняют по сортаменту проката рессорных сталей. Число листов задают в пределах 6 – 14.

Рисунок 6.13 Расчетная схема рессоры