Желаемую упругую характеристику независимой подвески строят графоаналитическимспособом. Исходя из компоновки и анализа выполненных конструкций, задают кинематическую схему направляющего устройства (рисунок 6.14). В масштабе строят ряд положений рычагов со стойкой, указывают соответствующие им положения центров опорной площадки пружины (точки В1,В2, В3, B4) и колеса (точки О1,О2, О3, О4). Потом определяют вертикальные деформации пружины ∆fi и перемещения ∆hiколеса, соответствующие каждому положению рычагов и по этим данным строят график зависимости h = f (f) – кинематическую характеристику подвески.
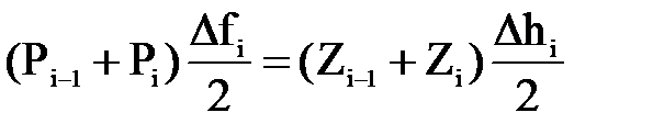
Затем, пренебрегая трением в подвеске и массой колеса, из условия равенства приращения потенциальной энергии пружины, которая деформируется силой Р на величину ∆fi, работе, совершаемой силой Z при подъеме колеса на высоту ∆hi,
(6.53)
находят зависимость, связывающую силы Z и Р:
. (6.54)

Рисунок 6.14 Кинематическая схема и характеристика рычажно-
пружинной трапециевидной подвески
По аналогии с существующими конструкциями задаются упругими характеристиками пружины подвески. Используя их, кинематическую характеристику подвески, а также формулу (6.51), строят семейство кривых h = φ(Z). Отложив по оси ординат заданные значения
статической нормальной реакции на колесо для ненагруженного и нагруженного автомобилей, выбирают кривую, которая обеспечивает перемещение в пределах h'c – h''c, отвечающих требованиям плавности хода. Ее и принимают за желаемую ориентировочную упругую характеристику. Затем задаются значениями Кд,hд и hб и достраивают характеристику так же, как и в случае построения упругой характеристики.
Расчет пружины производят аналогично расчету пружины сцепления. Необходимые расчетные нагрузки на пружину и ее деформации определяют из построенной упругой характеристики подвески с учетом ее кинематической и упругой характеристики пружины. Допускаемое напряжение кручения берут в пределах 600 – 700 МПа.






