Индекс- обобщенный показатель сравнений 2-хх совокупностей, состоящих из элементов непосредственной неподдающихся сравнению.
Классификация индексов:
- В зависимости от содержания и характера изуч объектов: колич-ые показ-ли и качеств-ые показ-ли
- В завис-ти от объема стат. совокупности: а) индивид-ые (хар-ют измен. показателя по отд. ед. совокупности); б) свободные: групповые (хар-ют измен-е показ-ля по гр. однор. единиц – например: индексы цен на прод-ю и непродовольств. товары.; общие (хар-ют измен. показат. по разнор-ой совокуп-ти, измен-е совок-ти в целом)
- В зависимости от методологии исчисления общие индексы подразделяются на: агрегатные (суммарные); средние из индивид.-ых индексов.(они бывают ср.арифметич-ие и ср.гармонич-е)
Агрег-е явл. осн-ой формой эк. индексов.
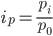
Индивид-ые индексы – это всегда дробь в числителе кот. показат. отч-го периода, в знаменат-ле пок.баз пер ли предшествующего пер. Инд. Индексы обознач-ся i со знаком индексируемого показателя p,q,z,t.
Индивидуальный индекс ценопределяется как отношение цены отдельного товара в отчетном периоде к цене его в базисном периоде, то есть по формуле:
.
Индивидуальный индекс физического объема: отношение количества товара одного вида, проданного в отчетном периоде, к количеству того же товара, проданного в базисном периоде (iq = q1 / q0).
Индекс показыв-ет во сколько раз и на сколько % измен. показ. в отч. периоде по сравн. с баз.
Общие индексы:
Наиболее распростр. явл-ся агрег. форма общего индекса,т.к. он рассч-ся для разноименных товаров. Общий инд обознач. I; это всегда дробь; вчислит отч.год, а в знаменат. базисн.
Агрег. форма общего индекса цены:
,
Агрегатная форма общ индекса физич. объема:
.;
;
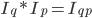
Произведение общ. инд цены на общий инд объема продаж = общ индексу товарооборота:

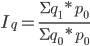
Средние индексы - для опред-ия общих инд. цен и физ объема товарооб. в агрегатной форме необх. данные о кол-ве отд. товаров и их ценах в отч. и баз пер. В тех случаях когда неизвестны отд значения p1 и q1, то для опред. Обобщ показ. изменения цен примен. ср. гармоническая форма общего индекса цены.
Pо =
; Ip = 
При наличии инфо об индивид инд. физ объема и стоимости реализ прод. В баз периоде общий индекс физ объема опред по ср. арифметической взвешенной.
Iq = 






