Алгоритм решения:
1. Решаемзадачу на минимум. Цель данного шага – получение максимально возможного числа нулей в матрице С. Для этого находим в матрице С в каждой строке минимальный элемент и вычитаем его из каждого элемента соответствующей строки. Аналогично в каждом столбце вычитаем соответствующий минимальный элемент.
Если задана не квадратная матрица, то делаем её квадратной, проставляя стоимости равными максимальному числу в заданной матрице.
2. Если после выполнения первого шага можно произвести назначения, то есть в каждой строке и столбце выбрать нулевой элемент, то полученное решение будет оптимальным. Если назначения провести не удалось, то переходим к третьему шагу.
3. Минимальным числом прямых вычёркиваем все нули в матрице и среди не вычеркнутых элементов выбираем минимальный, его прибавляем к элементам, стоящим на пересечении прямых и отнимаем от всех не вычеркнутых элементов. Далее переходим к шагу 2.
Венгерский метод наиболее эффективен при решении транспортных задач с целочисленными объемами производства и потребления.
|
|
|
Пример
Задача о назначениях является частным случаем транспортной задачи, в которой ai = bj = 1. Поэтому ее можно решать алгоритмами транспортной задачи. Рассмотрим другой метод, который является более эффективным, учитывающим специфику математической модели. Этот метод называется венгерским алгоритмом.
Он состоит из следующих шагов:
1) преобразования строк и столбцов матрицы;
2) определение назначения;
3) модификация преобразованной матрицы.
1-й шаг. Цель данного шага — получение максимально возможного числа нулевых элементов в матрице С. Для этого из всех элементов каждой строки вычитаем минимальный элемент соответствующей строки, а из всех элементов каждого столбца вычитаем минимальный элемент соответствующего столбца.
2-й шаг. Если после выполнения 1-го шага в каждой строке и каждом столбце матрицы С можно выбрать по одному нулевому элементу, то полученное решение будет оптимальным назначением.
3-й шаг. Если допустимое решение, состоящее из нулей, не найдено, то проводим минимальное число прямых через некоторые столбцы и строки так, чтобы все нули оказались вычеркнутыми. Выбираем наименьший невычеркнутый элемент. Этот элемент вычитаем из каждого невычеркнутого элемента и прибавляем к каждому элементу, стоящему на пересечении проведенных прямых.
Если после проведения 3-го шага оптимальное решение не достигнуто, то процедуру проведения прямых следует повторять до тех пор, пока не будет получено допустимое решение.
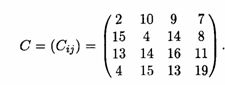
Пример.

Распределить ресурсы по объектам.
Решение. 1-й шаг. Значения минимальных элементов строк 1, 2, 3 и 4 равны 2, 4, 11 и 4 соответственно. Вычитая из элементов каждой строки соответствующее минимальное значение, получим
|
|
|

Значения минимальных элементов столбцов 1, 2, 3 и 4 равны 0, 0, 5, 0 соответственно. Вычитая из элементов каждого столбца соответствующее минимальное значение, получим

2-й шаг. Ни одно полное назначение не получено, необходимо провести модификацию матрицы стоимостей.
3-й шаг. Вычеркиваем столбец 1, строку 3, строку 2 (или столбец 2). Значение минимального невычеркнутого элемента равно 2:

Вычитаем его из всех невычеркнутых элементов и, складывая его со всеми элементами, расположенными на пересечении двух линий, получим

Ответ. Первый ресурс направляем на 3-й объект, второй — на 2-й объект, четвертый — на 1-й объект, третий ресурс — на 4-й объект. Стоимость назначения: 9 + 4 + 11 + 4 = 28.
Примечания. 1. Если исходная матрица не является квадратной, то нужно ввести фиктивные ресурсы или фиктивные объекты, чтобы матрица стала квадратной.

