Внутренняя энергия идеального газа

Внутренняя энергия идеального газа равна суммарной кинетической энергии всех молекул, составляющих систему (напомним, что потенциальной энергией взаимодействия молекул идеального газа пренебрегают),

,

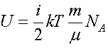
где - средняя кинетическая энергия одной молекулы, N - число молекул в системе, i – число степеней свободы. Число молекул N может быть найдено из формулы (1.8),

,

где m - масса газа, μ - молярная масса, NA - число Авогадро.

Следовательно, внутренняя энергия идеального газа равна

.

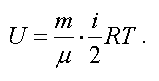
Учтем, что - газовая постоянная. Тогда внутренняя энергия идеального газа равна

(2.1)

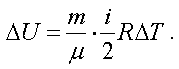
Изменение внутренней энергии зависит от изменения температуры, т. е.

(2.2)

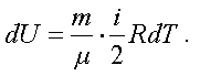
В дифференциальной форме эта формула запишется следующим образом

(2.3)

Внутренняя энергия системы может измениться за счет двух различных процессов: 1). Совершения над системой работы A / и 2). Сообщения количества теплоты . Заметим, что работа, совершаемая над системой внешними силами, и работа, совершаемая системой против внешних сил, равны по величине и противоположны по знаку A / = - A.





Подборка статей по вашей теме: