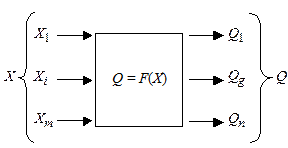
Фундаментальная роль фирм в экономике состоит в производстве товаров и услуг, поэтому производственно-технологический подход к фирме является одним из центральных при ее рассмотрении. Согласно этому подходу фирма рассматривается как система, осуществляющая преобразование производственных ресурсов
в готовую продукцию
по технологическому способу F (рис 2.1), что описывается производственной функцией: Q= F (X).

Рис. 2.1 Рис. 2.2
В этом случае фирма рассматривается как некий «чёрный ящик» с затратами ресурсов на входе и выпуском продукции на выходе, и представляется как система, минимизирующая производственную себестоимость выпускаемой продукции. На этой основе определяются следующие стратегические варианты её развития:
· концентрация;
· интеграция;
· диверсификация.
Концентрация – это сосредоточение на фирме всё большего объёма производства продукции одного вида. При этом определение оптимального размера фирмы основано на использовании эффекта от масштаба производства, в соответствии с которым зависимость производственной себестоимости единицы продукции (С) от объёма выпускаемой продукции (Q) имеет V-образный характер (рис. 2.2).
|
|
|
Оптимальный размер (оптимальная производственная мощность) фирмы в данной отрасли определяется объёмом выпуска Q opt, при котором производственная себестоимость продукции в долгосрочном периоде достигает минимума Cmin.
Такой вариант развития характерен для моноотраслевых фирм, специализирующихся на производстве определенной группы товаров на основе технологически связанного производственного процесса. Это, как правило, однопродуктовые предприятия или предприятия с доминирующим продуктом, объем продаж которого составляет не менее 70% суммарного объема продаж предприятия.
Рис. 2.3
| Интеграция – это сосредоточение на фирме смежных стадий производственной цепочки (рис. 2.3) При этом фирма выбирает между покупкой на рынке или производством внутри фирмы продуктов последовательных стадий (например, комплектующих) производства и реализации продукции. Фирме целесообразно осуществлять интеграцию, если издержки при их совокупном производстве будут меньше, чем при их покупке. Диверсификация – это сосредоточение на фирме производства одновременно нескольких видов продукции разных отраслей. При этом фирма получает так называемую экономию от разнообразия, когда, например, один и тот же |
ресурс, одно и то же оборудование или одна и та же технология могут использоваться одновременно в нескольких производственных процессах. Эффект диверсификации проявляется в снижении общих издержек и уменьшении риска деятельности на рынке.
|
|
|
Стратегии интеграции и диверсификации характерны для диверсифицированных (многоотраслевых) фирм, для которых сфера их деятельности распространяется на разные рынки: производство различных групп товаров, предназначенных для различных групп покупателей, оказание разнообразных услуг и т. п.
Однако реализация экономии от масштаба и разнообразия сфер деятельности наталкивается на неизбежные ограничения и с определённого момента производственная себестоимость продукции начинает расти. Казалось бы, что фирма может создать два, три филиала или их любое другое число, каждый из которых имел бы в точности оптимальный размер и, следовательно, все они вместе обеспечивали бы выпуск любого количества данной продукции при минимальной производственной себестоимости. Но в подавляющем большинстве случаев этого не происходит, вот почему объяснение размеров фирмы только факторами технологической экономии явно недостаточно и необходимо учитывать также другие факторы, важнейшими из которых являются транзакционные и управленческие издержки.
Рис. 2.3






