Ниже приводятся образцы отдельных частей проекта, примеры оформления данных, порядок расчета отдельных величин и комментарии к оформлению отдельных пунктов проекта. Пояснения ориентированы на «примерное содержание пояснительной записки проекта».
4.1 Примерное содержание пояснительной записки
1. Задание на проектирование.
2. Ситуационная безмасштабная схема территории.
3. Оценка условий на подходах к перекрестку.
4. Масштабный план перекрестка.
5. Схема разрешенных направлений движения.
6.Существующая программа работы светофора и пофазная организация движения.
7. Часовая интенсивность, состав движения по направлениям и потоки насыщения.
8. Расчетная и экспериментальная оценки задержки транспорта.
9. Назначение числа фаз и расчет светофорного цикла.
10. Определение длительности переходных интегралов в фазах.
11. Сопоставление предлагаемых светофорных программ.
12. Организация движения пешеходов.
13. Проверка рассчитанных светофорных программ на пропуск заданных потоков.
|
|
|
14. Оценка сложности и опасности перекрестка при существующей и предлагаемой организации движения.
15. Организация движения общественного пассажирского транспорта.
16. Заключение.
17. Литература.
4.2 Задание на проектирование
4.2.1 В задании надо изложить задачи, которые предстоит решить при проектировании улучшения организации движения на данном перекрестке.
4.2.2 Ситуационная безмасштабная схема территории должна дать представление об: условиях движения на участках протяженностью 100-120 метров перед перекрестком; объектах, расположенных на прилегающих к подходам территориях; наличии и расположении технических средств регулирования; привязки перекрестка света и общегородским ориентирам и т.д.
4.3 Ситуационная безмасштабная схема территории
На ситуационной схеме необходимо разным цветом («заливкой») обозначить: проезжую часть, пешеходные пути, газоны, разделительные полосы, здания. Рекомендуется проезжую часть обозначить желтым цветом, пешеходные пути – коричневым, газоны – зеленым.
Пример ситуационной схемы показан на рисунке 1.
Непосредственно перед ситуационной схемой должен быть приведен лист «Применяемые в проекте сокращения и условные обозначения». Пример составлен на с. 9.
Описание условий движения на подходах к перекрестку должно быть сведено в таблицу (таблица 1).
На масштабном плане перекрестка должна быть сохранена его ориентировка в пространстве, как и на безмасштабной ситуационной схеме. План перекрестка выполняется в таком масштабе, чтобы полностью был использован лист формата А4 (А3).
На плане должна быть изображена территория перекрестка по определению Правил дорожного движения, с включением пешеходных переходов. Пример такого плана показан на рисунке 2. План должен содержать информацию о геометрических параметрах проезжей части и пешеходных путей, размещении технических средств регулирования. Особым цветом или типом линий на плане должны быть изображены вносимые в проект технические предложения по перепланировке перекрестка или переоборудованию его техническими средствами регулирования.
|
|
|
4.4 Оценка условий движения на подходах к перекрестку и программа светофорного регулирования
Таблица 1
Условия движения на подходах к перекрестку (пример)
| Показатель | Подходы | |||
| 1. Длина контролируемого участка, м | ||||
| 2. Ширина проезжей части всей дороги в сечении стоп-линий, м | ||||
| 3. Число полос на подходе | ||||
| 4. Радиус закругления бортового камня, м | 13,5 | 13,5 | ||
| 5. Дальность видимости на подходе от стоп-линий в прямом направлении движения, м | ||||
| 6. Наличие уличной парковки на подходе | Нет | Нет | Нет | Нет |
| 7. Наличие остановочного пункта | Нет | Да | Нет | Нет |
| 8. Наличие обозначенного перехода для пешеходов | Нет | Нет | Нет | Нет |
| 9. Количество съездов (разрывов в бортовом камне) | Нет | Нет | ||
| 10. Наличие трамвайных и ж/д путей | Нет | Нет | Нет | Нет |
| 11. Расстояние боковой видимости вправо в сечении за 20 метров до стоп-линий, м. | ||||
| 12. Расстояние боковой видимости влево в сечении за 20 метров до стоп-линий, м | ||||
| 13. Ширина разделительной полосы между тротуаром и проезжей частью, м | — | |||
| 14. Наличие ограждений между тротуаром и проезжей частью | Нет | Нет | Нет | Нет |
| 15. Наличие уличного освещения | Да | Да | Да | Да |

Рисунок 1 Ситуационная безмасштабная схема территории:
1 – место остановки общественного транспорта; 2 – пешеходный переход, 3 – уширение проезжей части; 5 – торговые киоски; 6 – парковочная площадка; 7 – номер подхода к перекрестку.

Рисунок 2. Масштабный план перекрестка:
П- зоны существующих пешеходных переходов; R – радиус закругления бордюра; Св.1 – номер светофорной установки 1 - номер подхода к перекрестку
Таблица 2
Программа светофорного регулирования по состоянию на 20 августа 2004 года. Время: 1000 — 1100
| № фазы | Номера пропускаемых потоков | Номера светофоров |
| φ | tз | tж | tкр | tкж |
| N1, N2, N3, N7, N8, N9, | 1
| |||||||
| NП2, NП4 | 2,3 6,8 |
| — | — | ||||
| N4, N5, N6 |
| |||||||
| NП1, NП2 | 1,2 3,4 |
| — | — | ||||
| N10, N11, N12 |
| |||||||
| NП3, NП4 | 5,6 1,8 |
| — | — |
4.5 Разрешенные направления движения
На схеме разрешенных направлений движения должны быть указаны все транспортные и пешеходные потоки, движение которых организуется в данном проекте. Если движение каких-либо потоков не предусматривается разрабатываемой схемой организации движения, необходимо предусмотреть установку соответствующих предписывающих или запрещающих знаков, дорожную разметку.
Пример схемы разрешенных направлений показан на рисунке 3.

Рисунок 3. Разрешенные направления движения
4.6 Пофазная организация движения
На схемах представляется существующее распределение по фазам разрешенных транспортных и пешеходных потоков на перекрестке в соответствии с существующей программой светофорного регулирования. Пример схем показан на рисунке 4.
Рисунок 4. Пофазная организация движения
4.7 Часовая интенсивность и состав движения
Интенсивность транспортных и пешеходных потоков подсчитывается в течение 20 минут с последующим умножением на 3 для приведения данных к часу. Перед подсчетом подготавливаются специальные бланки дорожных протоколов, которые должны быть вложены в пояснительную записку в качестве первичного материала. Данные снимаются для периодов «пик» и «межпик». Результаты подсчета оформляются в таблицу (таблица 3).
|
|
|
Таблица 3
Интенсивность и состав движения в период «пик».
Дата: 15.06.00, среда. Время 1100 - 1200
| Потоки | Легковые | Грузовые | Автобусы | Троллейбусы | … | Пешеходы | Сум. интен-ть, привед. ед/ч. |
| N1 | |||||||
| N2 | |||||||
| … | |||||||
| Nп1 | |||||||
| Nп2 |
4.8 Определение потоков насыщения
Потоки насыщения МHj по j – му направлению движения определяются для расчета элементов светофорного цикла. Для расчетного и экспериментального определения следует использовать способы, изложенные в учебнике /8, с.41 – 43/. Полученные значения МHj сводятся в таблицу (таблица 4).
4.9 Расчетная и экспериментальная оценки задержки транспорта при существующей программе светофора
Расчетное значение задержки определяется по измеренным значениям тактов светофорного цикла и интенсивности транспортных потоков в каждой фазе.
Таблица 4
Потоки насыщения. Дата 2.03.00. Время: 1100 - 1200
| Фаза | Подход (направление) | МH, ед./ч (опыт) | МH, ед./ч (расчет) |
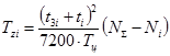
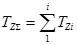
Задержка в i -й фазе определяется по формуле
, (4.1)
где Tzi – часовая задержка в i -й фазе, авт. ч/ч; N∑ - суммарная интенсивность на перекрестке со всех подходов, авт/ч; Ni – интенсивность со всех подходов в i -й фазе, авт./ч; t3i ti – длительности разрешающего такта и переходного интервала в i -й фазе соответственно; Тц – длительность цикла, с.
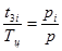
Общая задержка на перекрестке определяется суммированием задержек в отдельных фазах:
, (4.2)
Экспериментальная общая задержка на перекрестке определяется как сумма задержек со всех j- ых направлений движения:
|
|
|
.
Суть метода заключается в определении суммарной задержки суммарной задержки, накопленной остановленными на данном направлении автомобилями, и в приведении ее к одному условному автомобилю, последовавшему через перекресток по данному направлению. Методика определения задержки приведена в учебнике /8, с.59/.
4.10 Назначение числа фаз и расчет элементов светофорного цикла
4.10.1 В соответствии со схемой разрешенных направлений движения, интенсивностью и составом потоков следует предварительно установить необходимое количество фаз в рассчитываемом цикле. Первоначально надо назначить две фазы, объединяя потоки в группы, не конфликтующие между собой. В результате принятого решения должны быть составлены схемы пофазного проезда перекрестка и движения пешеходов.
На схеме двухфазного разъезда следует показать все имеющиеся конфликты между потоками. По известной из лекционного курса методике необходимо проверить допустимость всех имеющихся конфликтов и результаты свести в таблицу 5. При недопустимости какого-либо конфликта следует произвести перегруппировки потоков по фазам.
Окончательный вариант пофазного движения через перекресток должен соответствовать условиям:
а) в цикле минимально возможное число фаз;
б) в фазах отсутствует недопустимые конфликты.
Вывод: все конфликты в фазах в периоды «пик» и «межпик» допустимы.
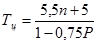
4.10.2 Расчет и составление предлагаемой светофорной программы.
Рассчитываются длительности цикла Тц и разрешающих тактов t3 для периодов «пик» и «межпик». Длительности переходных интервалов t в данных расчетах принимаются равными 3 секундам.
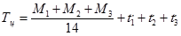
При расчете светофорного цикла по методу В.А. Владимирова используют формулу
, (4.3)
где Тц – ориентировочная длина цикла при трехфазном регулировании, с; М1 – удельная интенсивность наиболее загруженных направлений в каждой фазе, ед/ч;
- длина переходного интервала в конце каждой фазы, с.
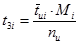
Длительность разрешающих тактов в каждой фазе рассчитывают по формуле
,
где
- средний интервал между автомобилями j- го направления, с:
,
здесь Nнл, Nнп, Nп – часовые интенсивности транспортных потоков, движущихся в данной фазе с j- го направления налево, направо и прямо соответственно, ед/ч;
- суммарная часовая интенсивность j- го направления.
Количество циклов за час пц = 3600/ Тц .
Таблица 5
Оценка допустимости конфликтов в фазах
| Период «пик» | |||||||
| № фазы | Конфликт | Nглф, ед/ч | Nвтф, ед/ч | Nвтр, ед/ч | Nвтд, ед/ч | Nглр, ед/ч | Допустимость конфликта |
| + | ||||||
| Период «межпик» | |||||||
| № фазы | Конфликт | Nглф, ед/ч | Nвтф, ед/ч | Nвтр, ед/ч | Nвтд, ед/ч | Nглр, ед/ч | Допустимость конфликта |
| + |
Расчета цикла по методу Ф. Вебстера основан на использовании фазовых коэффициентов yi и потерянного в цикле времени (сумма переходных интервалов
):
, (4.4)
где Y – сумма наибольших фазовых коэффициентов в отдельных фазах.
Длина разрешающего такта

Долевой коэффициент

Расчет светофорного цикла по методу В.М. Полукарова.
Оптимальную длительность светофорного цикла рассчитывают по формуле
, (4.5)
где п – число фаз; Р – суммарный фазовый коэффициент,
.
Для каждой фазы определяют коэффициенты:
, (4.6)
где
- интенсивность более загруженного направления в i – й фазе;
- ширина проезжей части, используемой потоком
, м;
- коэффициент, учитывающий направления движения потоков
.
Длительность разрешающего такта в i – й фазе определяют из соотношения
,
где
- длительность i – й фазы, равная сумме разрешающего такта и переходного интервала, с.
Результаты расчетов сводят в таблицу 6.
Выбирают тот вариант, в котором
имеет наименьшее значение. Рассчитанные элементы светофорного цикла следует занести в таблицу 7.
Такая же таблица составляется для периода «межпик».
4.10.3 Для выбора оптимальной светофорной программы необходимо рассчитать значения задержки на перекрестке, используя формулы (4.1) и (4.2) и параметры светофорного цикла из таблицы 7.
Результаты расчетов следует свести в таблицу 8.
Ориентируясь на наименьшую часовую задержку (по таблице 8), следует выбрать рекомендуемые к практическому применению светофорные программы для периодов «пик» и «межпик» и построить их графики по образцу, приведенному в таблице 2.
4.11 Определение длительности переходных интервалов в фазах
Длительность переходного интервала должна быть такой, чтобы транспортное средство, находящееся в момент выключения зеленого сигнала на расстоянии от стоп-линий, равном или меньшем, чем его остановочный путь, имело возможность, двигаясь со средней скоростью транспортного потока на подходе, миновать его конфликтные точки на перекрестке до того, как их достигнут транспортные средства или пешеходы, начинающие движение по зеленому сигналу в следующей фазе.
Таблица 6
| Вариант | 1-я фаза | 2-я фаза | 3-я фаза | 4-я фаза |
|
| — |
| |
| + | + | + |
| |
| … | … | … | … |
Таблица 7
Длительность элементов светофорного цикла в период «пик», с
| Метод расчета | Tц | t31 | t32 | T33 | T34 | L |
| По Владимиру | ||||||
| По Вебстеру | ||||||
| По Полукарову |
Длительность элементов светофорного цикла в период «межпик», с
| Метод расчета | Tц | t31 | t32 | T33 | T34 | L |
| По Владимиру | ||||||
| По Вебстеру | ||||||
| По Полукарову |
Переходный интервал определяют по формуле
, (4.7)
где
- длительность переходного интервала, с;
- время проезда (без снижения скорости) расстояния до стоп - линии, равного остановочному пути;
- время проезда расстояния от стоп – линии до самой дальней конфликтной точки с добавлением длины транспортного средства;
- время с момента включения зеленого сигнала в очередной фазе до момента прибытия к конфликтной точке транспортного средства или пешеходов, начавших движение по этому сигналу.
Таблица 8
Задержка на перекрестке (авт. ч/ч) при разных светофорных программах
| Вариант светофорной программы | Период | ||
| «пик» | «межпик» | ||
| По Владимиру | |||
| По Вебстеру | |||
| По Полукарову | |||
| Существующая программа | расчетная задержка | ||
| экспериментальная задержка |
Величины
и
следует определять по данным таблицы 9, величину
- по данным таблицы 10.
Скорость для определения величин
и
по таблицы 9 и таблицы 10 принимают: в прямом направлении 50 км/ч, при поворачивающем – 25 км/ч.
Таблица 9
Значения величин
и
(замедление транспортного средства при остановке перед стоп – линией принимается равным 3 м/с2)
| Фактическая скорость движения транспортных средств перед перекрестком и на его территории, км/ч | , с
| , с
| ||||||||||
| Путь пешехода или транспортного средства до дальней конфликтной точки плюс длина транспортного средства, м | ||||||||||||
| 1,2 | 1,4 | 2,2 | 2,9 | 3,6 | 4,3 | 5,8 | 6,5 | 7,2 | 7,9 | 8,6 | ||
| 2,3 | 0,7 | 1,1 | 1,4 | 1,8 | 2,2 | 2,5 | 2,9 | 3,2 | 3,6 | 4,3 |
Для каждого подхода, обслуживаемого данной фазой, может быть получено одно или два значения
- по прямому и (или) левоповоротному движению. Из совокупности значений
по всем подходам, обслуживаемым фазой, выбирают для введения в цикл регулирования наибольшее значение. Практически расчет следует начинать с того направления, для которого по визуальной оценке значение
должно получиться наибольшим, а затем прикидочными расчетами проверить, достаточно ли оно для остальных направлений.
Таблица 10 
Значение величины
(ускорение транспортного средства при разгоне после трогания с места принимается равным 2 м/с2,
скорость пешехода 1,3 м/с), с
| Путь пешехода или транспортного средства от стоп-линии (края тротуара) до конфликтной точки в очередной фазе, м | |||||||||||
| Пешеход | 0,8 | 1,5 | 2,3 | 3,1 | 3,8 | 5,4 | 7,7 | 11,5 | 15,4 | 12,2 | 23,1 |
| Транспортное средство | 1,4 | 1,7 | 2,2 | 2,7 | 3,2 | 3,9 | 4,5 | 5, | 5,5 |
Примечание. При наличии конфликта как с транспортом, так и с пешеходами принимается меньшее из двух значений
.
Не следует назначать переходные интервалы длительностью менее 3 с.
При
с переходной интервал должен быть составлен из двух вспомогательных тактов. Длительность желтого сигнала иногда не должна быть менее 3 и более 4 с. Допустимые значения длительности одновременного горения красного и желтого сигналов – 2, 3 и 4 с.
Переходные интервалы длительностью более 8 сек. следует рассматривать как редкое исключение и применять только на пересечениях очень широких улиц. В составе такого переходного интервала обязательно должен быть такт, при котором во всех направлениях включен красный сигнал (как правило, это трехтактный переходный интервал).
Полученные табличные значения
,
и
следует проверить на соответствие данному перекрестку расчетом, используя масштабную схему перекрестка и следующие формулы:
, (4.8)
где
- остановочный путь, м;
- расчетная скорость движения автомобиля, км/ч;
- время реакции водителя (принять равным 0,5 с);
- время срабатывания тормозной системы (принять равным 1 с);
- замедление при остановке у стоп – линий (принять равным 3м/с2).
, (4.9)
где
- расстояние от стоп – линий до самой дальней конфликтной точки, определяется по масштабной схеме перекрестка, м;
- условная длина транспортных средств, принимается равной 6 м.
, (4.10)
где
- расстояние до конфликтной точки, проходимое транспортным средством или пешеходом, начавших движение в очередной фазе на зеленый сигнал светофора;
- скорость транспортного средства или пешеходов, м/с.
Результаты определения длин переходных интервалов должны быть сведены в таблицу 11. Для дальнейших расчетов принимаются наибольшие значения переходных интервалов.
Таблица 11
Значение переходных интервалов, с
| Номер фазы | Табличные значения | Расчетные значения | Принимаемые значения
| ||||
|
|
|
|
|
| ||
4.12 Сопоставление светофорных программ
После всех элементов светофорного цикла результаты следует свести в таблицу 12 по схеме 
Используя данные таблицы 12, необходимо рассчитать по формулам (4.1) и (4.2) суммарную задержку на перекрестке. Результаты сводятся в таблицу 13. Сопоставляя задержки, следует предложить для практического использования программы с наименьшими задержками. Графики этих программ надо построить по образцу (смотреть таблицу 2).
Таблица 12
Расчетные значения светофорного цикла
| Метод расчета | Период | |
| «пик» | «межпик» | |
| По Владимирову | ||
| По Вебстеру | ||
| По Полукарову | ||
| Существующая программа |
4.13 Организация движения пешеходов
В данном пункте нужно решить следующие задачи:
а) описать расположение и обустройство техническими средствами каждого из имеющихся пешеходных переходов. Здесь используется масштабный план перекрестка и его безмасштабная схема. На масштабном плане должны быть привязаны размерными линиями к несмещаемым объектам все применяемые технические средства организации движения. Следует оценить удобство и безопасность расположения перехода, ориентируясь на нормативные рекомендации /2/;
б) должна быть рассчитана и принята ширина каждого перехода;
в) проверить достаточность длительности разрешающих тактов на пропуск пешеходов, используя условие
, (4.11)
где
- рассчитанная длительность зеленого сигнала для пропуска пешеходного потока, с;
- ширина проезжей части, которую пересекают пешеходы, м;
- длительность зеленого сигнала фазы, в которй пропускаются пешеходы по рекомендованной программе.
Если условие (4.11) не выполняется, необходимо внести корректировку в структуры рекомендованных светофорных программ: заменить
на полученное большее значение
(4.11).
Таблица 13
Суммарная задержка на перекрестке при различных программах светофорного регулирования, авт ч/ч
| Метод расчета | Период | |
| «пик» | «межпик» | |
| По Владимирову | ||
| По Вебстеру | ||
| По Полукарову | ||
| Существующая программа | ||
| Экспериментальные данные |
4.14 Проверка светофорных программ на пропуск заданных потоков.
Условием пропуска заданной интенсивности в
-ой фазе с
-го подхода следует принимать соотношение
Т3ijрасч≥Т3ijнеобх ,
где Т3ijрасч и Т3ijнеобх – суммарное время горения зеленого сигнала в
-ой фазе с
-го подхода за 60 циклов[1], полученное расчетом и необходимо в с.
Т3ijрасч= t3y60,
где t3y – рассчитанное время горения зеленого сигнала в
-ой фазе с
-го подхода, берется из рекомендуемой программы, с.
Т3ijнеобх=
,
где
- средний интервал между автомобилями в
-ой фазе с
-го подхода, с;
- определяется расчетом с учетом распределения транспортных средств по направлениям движения;
- часовая интенсивность (ед/ч) в
-ой фазе с
-го подхода, принимается по заданию на проектирование;
- число полос, используемое интенсивностью
.
Результаты проверочного расчета сводят в таблицу 14.
Таблица 14
Оценка разности Т3ijнеобх - Т3ijрасч в период «пик»
| Номер фазы | Номер подхода | Т3ijнеобх, с | Т3ijрасч, с | Δ 3 = Т3ijнеобх - Т3ijрасч |
Внимание! Если Т3ijнеобх превышает Т3ijрасч на величину более чем 20% необходимо в предлагаемую организацию движения вносить коррективы для разгрузки соответствующего подхода.
4.15 Сравнительная оценка сложности и опасности перекрестка
Здесь сравнивается состояние перекрестка по суммарному баллу сложности
и суммарному баллу опасности
по трем вариантам:
а) при существующей программе светофорного регулирования;
б) при предлагаемой программе светофорного регулирования;
в) при отключении светофора.
Расчет баллов сложности и опасности приводится в лекционном курсе «Организация дорожного движения».
Результаты расчетов должны быть сведены в таблицу 15.
Для иллюстрации конфликтных точек надо привести соответствующие схемы.
Таблица 15
Оценка сложности и опасности перекрестка
| Номер фазы | Существующая программа | Предлагаемая программа | ||
|
|
|
| |
| Итого | ||||
| Без светофора |
4.16 Организация движения пассажирского транспорта
Если через перекресток проходят транспортные средства, двигающиеся по установленным маршрутам. надо: оформить таблицей номера маршрутов и направления движения (с использованием схемы разрешенных направлений) пассажирского транспорта, типы транспортных средств (автобус, трамвай, троллейбус). Например:
- троллейбусы №7, 9; автобус №102. А также следует проанализировать:
а) расположение и обустройство остановочных пунктов пассажирского транспорта в зоне перекрестка (безмасштабная схема перекрестка) на соответствие установленным нормам /5,6/;
б) обеспечение приоритета данному виду транспорта на перекрестке:
· наличие специальной фазы;
· соответствующее применение знаков приоритета;
· выделение специальной полосы;
· ограничения для других видов транспорта и др.
1






