Пример 2: Распределение населения города в IV квартале 2011 года по уровню среднедушевых денежных доходов отражено в таблице:
| Среднедушевой денежный доход в среднем за месяц, р. | Численность населения, % к итогу f | Середина интервала x | x-a | x-a k |
|
|
|
| До 400 | -400 | -2 | -20 | ||||
| 400-600 | -200 | -1 | -15 | ||||
| 600-800 | |||||||
| 800-1000 | |||||||
| 1000-1200 | |||||||
| 1200 и выше | |||||||
| Итого: | - | - | - | - |
Определите величину среднедушевого дохода за месяц в целом по городу, используя упрощенный расчет (способом моментов).
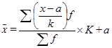
Так как в каждой группе различная численность населения (разные частоты), расчет следует производить по средней взвешенной, используя формулу:

По условию представлен интервальный ряд распределения. Для решения его необходимо выразить дискретно, т.е. найти середину интервала. Решение оформляем таблицей. Середину интервала определяем в гр. 3.
|
|
|
Далее необходимо выбрать значения kи a. Ими могут быть любые произвольные величины, но для удобства расчета за a обычно принимают размер варианта при наибольшей частоте, а за k– размер интервала, т.е. по условию a= 700, k= 200 (во всех группах одинаковый интервал). Далее решаем по формуле, подстраивая гр. 4,5,6.
Итог гр. 6 подставляем в формулу, т.е. определяем среднедушевой доход:

Следовательно, среднедушевой доход за месяц в IVквартале 2011 года в данном городе составлял 790р.
По условию этого примера определим среднедушевой доход в форме моды для дискретного и интервального рядов распределения:
Решение: Среднедушевой доход: а) для дискретного ряда Мо = 700 р. (вариант при наибольшей частоте);
б) для интервального ряда:

По условию примера определим среднедушевой доход в форме медианы для дискретного и интервального рядов.
Решение: а) для дискретного ряда: Ме = 700р.
б) для интервального ряда:

По условию задачи определите:
1) дисперсию (способом моментов);
2) среднеквадратическое отклонение;
3) коэффициент вариации
Решение:
1) 
3) среднеквадратическое отклонение:

4) коэффициент вариации:
V= 
Вывод: результаты расчетов показывают, что существует большая колеблемость населения по душевому доходу, поскольку коэффициент вариации превышает 33,3%.






