Целью статистического исследования является выявление основных свойств и закономерностей изучаемой статистической совокупности. В процессе сводной обработки данных статистического наблюдения строят ряды распределения. Различают два типа рядов распределения – атрибутивные и вариационные, в зависимости от того, является ли признак, взятый за основу группировки, качественным или количественным.
Вариационными называют ряды распределения, построенные по количественному признаку. Значения количественных признаков у отдельных единиц совокупности не постоянны, более или менее различаются между собой. Такое различие в величине признака носит название вариации. Отдельные числовые значения признака, встречающиеся в изучаемой совокупности, называют вариантами значений. Наличие вариации у отдельных единиц совокупности обусловлено влиянием большого числа факторов на формирование уровня признака. Изучение характера и степени вариации признаков у отдельных единиц совокупности является важнейшим вопросом всякого статистического исследования. Для описания меры изменчивости признаков используют показатели вариации.
|
|
|
Другой важной задачей статистического исследования является определение роли отдельных факторов или их групп в вариации тех или иных признаков совокупности. Для решения такой задачи в статистике применяются специальные методы исследования вариации, основанные на использовании системы показателей, с помощью которых измеряется вариация. В практике исследователь сталкивается с достаточно большим количеством вариантов значений признака, что не дает представления о распределении единиц по величине признака в совокупности. Для этого проводят расположение всех вариантов значений признака в возрастающем или убывающем порядке. Этот процесс называют ранжированием ряда. Ранжированный ряд сразу дает общее представление о значениях, которые принимает признак в совокупности.
Недостаточность средней величины для исчерпывающей характеристики совокупности заставляет дополнять средние величины показателями, позволяющими оценить типичность этих средних путем измерения колеблемости (вариации) изучаемого признака. Использование этих показателей вариации дает возможность сделать статистический анализ более полным и содержательным и тем самым глубже понять сущность изучаемых общественных явлений.
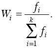
Самыми простыми признаками вариации являются минимум и максимум – это наименьшее и наибольшее значение признака в совокупности. Число повторений отдельных вариантов значений признаков называют частотой повторения. Обозначим частоту повторения значения признака fi, сумма частот, равная объему изучаемой совокупности, где k – число вариантов значений признака. Частоты удобно заменять частостями – wi. Частость – относительный показатель частоты – может быть выражен в долях единицы или процентах и позволяет сопоставлять вариационные ряды с различным числом наблюдений. Формально имеем:
|
|
|

Для измерения вариации признака применяются различные абсолютные и относительные показатели. К абсолютным показателям вариации относятся среднее линейное отклонение, размах вариации, дисперсия, среднее квадратическое отклонение.
Размах вариации (R) представляет собой разность между максимальным и минимальным значениями признака в изучаемой совокупности: R = Xmax – Xmin. Этот показатель дает лишь самое общее представление о колеблемости изучаемого признака, так как показывает разницу только между предельными значениями вариантов. Он совершенно не связан с частотами в вариационном ряду, т.е. с характером распределения, а его зависимость может придавать ему неустойчивый, случайный характер только от крайних значений признака. Размах вариации не дает никакой информации об особенностях исследуемых совокупностей и не позволяет оценить степень типичности полученных средних величин. Область применения этого показателя ограничена достаточно однородными совокупностями, точнее, характеризует вариацию признака показатель, основанный на учете изменчивости всех значений признака.
Для характеристики вариации признака нужно обобщить отклонения всех значений от какой-либо типичной для изучаемой совокупности величины. Такие показатели
вариации, как среднее линейное отклонение, дисперсия и среднее квадратическое отклонение, основаны на рассмотрении отклонений значений признака отдельных единиц совокупности от средней арифметической.
Среднее линейное отклонение представляет собой среднюю арифметическую из абсолютных значений отклонений отдельных вариантов от их средней арифметической:

– абсолютное значение (модуль) отклонения варианта от средней арифметической; f– частота.
Первая формула применяется, если каждый из вариантов встречается в совокупности только один раз, а вторая – в рядах с неравными частотами.
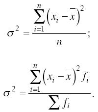
Существует и другой способ усреднения отклонений вариантов от средней арифметической. Этот очень распространенный в статистике способ сводится к расчету квадратов отклонений вариантов от средней величины с их последующим усреднением. При этом мы получаем новый показатель вариации – дисперсию.
Дисперсия – средняя из квадратов отклонений вариантов значений признака от их средней величины:

Вторая формула применяется при наличии у вариантов своих весов (или частот вариационного ряда).
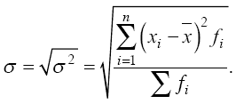
В экономико-статистическом анализе вариацию признака принято оценивать чаще всего с помощью среднего квадратического отклонения. Среднее квадратическое отклонение представляет собой корень квадратный из дисперсии:

Среднее линейное и среднее квадратическое отклонения показывают, на сколько в среднем колеблется величина признака у единиц исследуемой совокупности, и выражаются в тех же единицах измерения, что и варианты.
В статистической практике часто возникает необходимость сравнения вариации различных признаков. Например, большой интерес представляет сравнение вариаций возраста персонала и его квалификации, стажа работы и размера заработной платы и т.д. Для подобных сопоставлений показатели абсолютной колеблемости признаков – среднее линейное и среднее квадртическое отклонение – не пригодны. Нельзя, в самом деле, сравнивать колеблемость стажа работы, выражаемую в годах, с колеблемостью заработной платы, выражаемой в рублях и копейках.
|
|
|
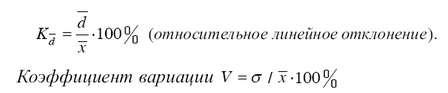
При сравнении изменчивости различных признаков в совокупности удобно применять относительные показатели вариации. Эти показатели вычисляются как отношение абсолютных показателей к средней арифметической (или медиане). Используя в качестве абсолютного показателя вариации размах вариации, среднее линейное отклонение, среднее квадратическое отклонение, получают относительные показатели колеблемости:


– наиболее часто применяемый показатель относительной колеблемости, характеризующий однородность совокупности. Совокупность считается однородной, если коэффициент вариации не превышает 33 % для распределений, близких к нормальному.