
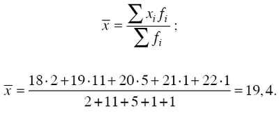
Применяя формулу средней арифметической взвешенной, получаем:

Для выбора средней арифметической взвешенной существует определенное правило: если имеется ряд данных по двум показателям, для одного из которых надо вычислить
среднюю величину, и при этом известны численные значения знаменателя ее логической формулы, а значения числителя неизвестны, но могут быть найдены как произведение этих показателей, то средняя величина должна высчитываться по формуле средней арифметической взвешенной.
В некоторых случаях характер исходных статистических данных таков, что расчет средней арифметической теряет смысл и единственным обобщающим показателем может служить только другой вид средней величины – средняя гармоническая. В настоящее время вычислительные свойства средней арифметической потеряли свою актуальность при расчете обобщающих статистических показателей в связи с повсеместным внедрением электронно-вычислительной техники. Большое практическое значение приобрела средняя гармоническая величина, которая тоже бывает простой и взвешенной. Если известны численные значения числителя логической формулы, а значения знаменателя неизвестны, но могут быть найдены как частное деление одного показателя на другой, то средняя величина вычисляется по формуле средней гармонической взвешенной.
|
|
|
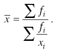
Например, пусть известно, что автомобиль прошел первые 210 км со скоростью 70 км/ч, а оставшиеся 150 км со скоростью 75 км/ч. Определить среднюю скорость автомобиля на протяжении всего пути в 360 км, используя формулу средней арифметической, нельзя. Так как вариантами являются скорости на отдельных участках xj = 70 км/ч и Х2 = 75 км/ч, а весами (fi) считаются соответствующие отрезки пути, то произведения вариантов на веса не будут иметь ни физического, ни экономического смысла. В данном случае смысл приобретают частные от деления отрезков пути на соответствующие скорости (варианты xi), т.е. затраты времени на прохождение отдельных участков пути (fi / xi). Если отрезки пути обозначить через fi, то весь путь выразиться как fi, а время, затраченное на весь путь, – как? fi / xi,. Тогда средняя скорость может быть найдена как частное от деления всего пути на общие затраты времени:

В нашем примере получим:

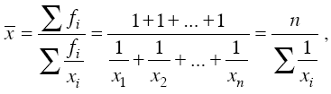
Если при использовании средней гармонической веса всех вариантов (f) равны, то вместо взвешенной можно использовать простую (невзвешенную) среднюю гармоническую:

где xi – отдельные варианты; n – число вариантов осредняемого признака. В примере со скоростью простую среднюю гармоническую можно было бы применить, если бы были равны отрезки пути, пройденные с разной скоростью.
|
|
|
Любая средняя величина должна вычисляться так, чтобы при замене ею каждого варианта осредняемого признака не изменялась величина некоторого итогового, обобщающего показателя, который связан с осредняемым показателем. Так, при замене фактических скоростей на отдельных отрезках пути их средней величиной (средней скоростью) не должно измениться общее расстояние.
Форма (формула) средней величины определяется характером (механизмом) взаимосвязи этого итогового показателя с осредняемым, поэтому итоговый показатель, величина которого не должна изменяться при замене вариантов их средней величиной, называется определяющим показателем. Для вывода формулы средней нужно составить и решить уравнение, используя взаимосвязь осредняемого показателя с определяющим. Это уравнение строится путем замены вариантов осредняемого признака (показателя) их средней величиной.
Кроме средней арифметической и средней гармонической в статистике используются и другие виды (формы) средней величины. Все они являются частными случаями степенной средней. Если рассчитывать все виды степенных средних величин для одних и тех же данных, то значения
их окажутся одинаковыми, здесь действует правило мажорантности средних. С увеличением показателя степени средних увеличивается и сама средняя величина. Наиболее часто применяемые в практических исследованиях формулы вычисления различных видов степенных средних величин представлены в табл. 5.2.
Таблица 5.2