Формула Тейлора показывает поведение функции в окрестности некоторой точки. Формула Тейлора функции часто используется при доказательстве теорем в дифференциальном исчислении.
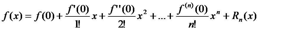
Формула Тейлора

, где Rn(x) - остаточный член формулы Тейлора.
Остаточный член формулы Тейлора
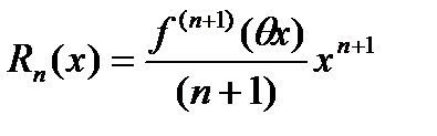
В форме Лагранжа:

В форме Коши:

Формулой Маклорена называется формула Тейлора при а = 0:

, 0<
<1
Мы получили так называемую формулу Маклорена с остаточным членом в форме Лагранжа.
Следует отметить, что при разложении функции в ряд применение формулы Маклорена предпочтительнее, чем применение непосредственно формулы Тейлора, т.к. вычисление значений производных в нуле проще, чем в какой- либо другой точке, естественно, при условии, что эти производные существуют.
Однако, выбор числа а очень важен для практического использования. Дело в том, что при вычислении значения функции в точке, расположенной относительно близко к точке а, значение, полученное по формуле Тейлора, даже при ограничении тремя – четырьмя первыми слагаемыми, совпадает с точным значением функции практически абсолютно. При удалении же рассматриваемой точки от точки а для получения точного значения надо брать все большее количество слагаемых формулы Тейлора, что неудобно.
|
|
|
Т.е. чем больше по модулю значение разности (х – а) тем более точное значение функции отличается от найденного по формуле Тейлора.
Кроме того, можно показать, что остаточный член Rn+1(x) является бесконечно малой функцией при х®а, причем долее высокого порядка, чем (х – а)m, т.е.
Rn+1 (x)=
(
n)
Таким образом, ряд Маклорена можно считать частным случаем ряда Тейлора.
Теория вероятностей - раздел математики, изучающий закономерности случайных явлений: случайные события, случайные величины, их свойства и операции над ними.






