Комплексным числом z называется пара (x, y) действительных чисел x и y. При этом равенство, сумма и произведение упорядоченных пар, а также отождествление некоторых из них с действительными числами определяются следующим образом:
1) два комплексных числа z1 = (x1, y1) и z2 = (x2, y2) называются равными, если x1 = x2 и y1 = y2;
2) суммой комплексных чисел z1 и z2 называется комплексное число z вида
z = (x1 + x2, y1 + y2);
3) произведением комплексных чисел z1 и z2 называется комплексное число
z = (x1x2 - y1y2, x1y2 + x2y1);
4) множество комплексных чисел
отождествляется с множеством действительных чисел R.
Разностью комплексных чисел z1 и z2 называется комплексное число z такое, что z2 + z = z1, откуда находим z = z1 - z2 = (x1 - x2, y1 - y2).
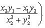
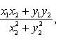
Частным комплексных чисел z1 и z2 называется комплексное число z такое, что
. Отсюда находим

Комплексное число (0, 1) обозначается символом i = (0, 1). Тогда
, т. е. i2 = -1. Произвольное комплексное число z можно записать в виде
z = (x, y) = (x, 0) + (0, y) = (x, 0) + (0, 1)(y, 0) = x + iy.
Эта запись называется алгебраической формой комплексного числа. Комплексное число
называется сопряженным по отношению к комплексному числу z = (x, y) = x + iy.
|
|
|






