В математическом анализе правилом Лопита́ля называют метод нахождения пределов функций, раскрывающий неопределённости вида
и
. Обосновывающая метод теорема утверждает, что при некоторых условиях предел отношения функций равен пределу отношения их производных.
Точная формулировка
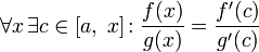
Правило говорит, что если функции
и
обладают следующим набором условий:
1.
или
;
2.
;
3.
в некоторой окрестности точки
, тогда существует
. При этом теорема верна и для других баз (для указанной будет приведено доказательство).
Доказательство
1. Докажем теорему для случая, когда пределы функций равны нулю (т. н. неопределённость вида
)
Поскольку мы рассматриваем функции
и
только в правой проколотой полуокрестности точки
, мы можем непрерывным образом их доопределить в этой точке: пусть
. Возьмём некоторый
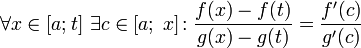
из рассматриваемой полуокрестности и применим к отрезку
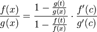
теорему Коши. По этой теореме получим:

Но
, поэтому
.
Дальше, записав определение предела отношения производных и обозначив последний через А, из полученного равенства выводим:
|
|
|
для конечного предела и
для бесконечного,
что является определением предела отношения функций.
2. Докажем теорему для неопределённостей вида
. Пусть, для начала, предел отношения производных конечен и равен А. Тогда, при стремлении
к
справа, это отношение можно записать как
, где
— O(1). Запишем это условие:

Зафиксируем
из отрезка
и применим теорему Коши ко всем
из отрезка
:
, что можно привести к следующему виду:

Для
, достаточно близких к
, выражение имеет смысл; предел первого множителя правой части равен единице (так как
и
— константы, а
и
стремятся к бесконечности). Значит, этот множитель равен
, где
— бесконечно малая функция при стремлении
к
справа. Выпишем определение этого факта, используя то же значение
, что и в определении для
:

Получили, что отношение функций представимо в виде
, и
.По любому данному
можно найти такое
, чтобы модуль разности отношения функций и
был меньше
, значит, предел отношения функций действительно равен
.
Если же предел
бесконечен (допустим, он равен плюс бесконечности), то
.
В определении
будем брать
; первый множитель правой части будет больше 1/2 при
, достаточно близких к
, а тогда
.
Для других баз доказательства аналогичны приведённым.
Примеры


Здесь можно применить правило Лопиталя 3 раза, а можно поступить иначе. Можно разделить и числитель, и знаменатель на x в наибольшей степени(в нашем случае
). В этом примере получается: 








