-

-

-

+

Точка приложения равнодействующей гидростатического давления лежит ниже центра тяжести плоской боковой поверхности резервуара на расстоянии
+

-

-

-

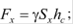
Сила гидростатического давления на цилиндрическую боковую поверхность по оси Оx равна 
+

-

-

-

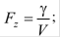
Сила гидростатического давления на цилиндрическую боковую поверхность по оси Oz равна 
-

+

-

-

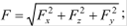
Равнодействующая гидростатического давления на цилиндрическую боковую поверхность равна
+

-

-

-

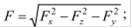
Сила, действующая со стороны жидкости на погруженное в нее тело равна
-

-

-

+







