-

-

-

+

Для измерения скорости потока используется
+
трубка Пито;
-
пьезометр;
-
вискозиметр;
-
трубка Вентури.
Для измерения расхода жидкости используется
-
трубка Пито;
-
расходомер Пито;
+
расходомер Вентури;
-
пьезометр.
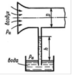
Укажите, на каком рисунке изображен расходомер Вентури
-

-

-

+

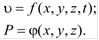
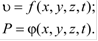
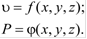
Установившееся движение характеризуется уравнениями
-

-

-

+

Расход потока измеряется в следующих единицах
-
м3;
-
м2/с;
-
м3·с;
+
м3/с.
Для двух сечений трубопровода известны величины P1, υ1, z1 и z2. Можно ли определить давление P2 и скорость потока υ2?
-
можно;
+
можно, если известны диаметры d1 и d2;
-
можно, если известен диаметр трубопровода d1;
-
нельзя.
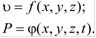
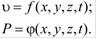
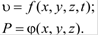
Неустановившееся движение жидкости характеризуется уравнением
-

-

+

-







