-

+

-

-

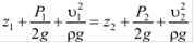
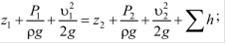
Уравнение Бернулли для идеальной жидкости имеет вид
-

-

+

-

На каком рисунке трубка Пито установлена правильно
-

+

-

-

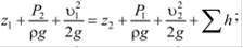
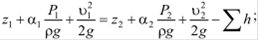
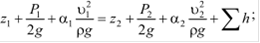
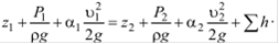
Уравнение Бернулли для реальной жидкости имеет вид
-

-

-

+

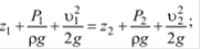
Член уравнения Бернулли, обозначаемый буквой z, называется
+
геометрической высотой;
-
-
скоростной высотой;
-
потерянной высотой.
Член уравнения Бернулли, обозначаемый выражением
называется
-
скоростной высотой;
-
геометрической высотой;
+
-
потерянной высотой.
Член уравнения Бернулли, обозначаемый выражением
называется
-
пьезометрической высотой;
+
скоростной высотой;
-
геометрической высотой;
-
такого члена не существует.