-

-

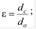
+

-

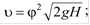
Скорость истечения жидкости через отверстие равна
-

-

-

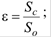
+

Расход жидкости через отверстие определяется как
-

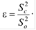
+

-

-

В формуле для определения скорости истечения жидкости через отверстие
буквой φ обозначается
+
коэффициент скорости;
-
коэффициент расхода;
-
коэффициент сжатия;
-
коэффициент истечения.
При истечении жидкости через отверстие произведение коэффициента сжатия на коэффициент скорости называется
-
коэффициентом истечения;
-
коэффициентом сопротивления;
+
коэффициентом расхода;
-
коэффициентом инверсии струи.
В формуле для определения скорости истечения жидкости через отверстие
буквой H обозначают
-
дальность истечения струи;
-
глубину отверстия;
-
высоту резервуара;
+
напор жидкости.