-
истечении жидкости в атмосферу;
-
истечение жидкости в пространство, заполненное другой жидкостью;
+
истечение жидкости в пространство, заполненное той же жидкостью;
-
истечение жидкости через частично затопленное отверстие.
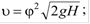
Скорость истечения жидкости через затопленное отверстие определяется по формуле
-

-

-

+

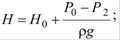
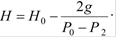
Напор жидкости H, используемый при нахождении скорости истечения жидкости через затопленное отверстие, определяется по формуле
+

-

-

-
