Определим премии за риск. Расчёт представлен в таблице 4.4.
| №п/п | Виды рисков | Вероятность возникновения | Влияние риска на проект,% |
| Задержка финансового проекта | |||
| Некомпетентность персонала | |||
| Некачественное оборудование | |||
| Задержка сроков сдачи работ по проекту | |||
| Изменение законодательной базы энергетической отрасли | |||
| Итого |
После определения процента риска методом экспертных оценок и вероятности его возникновения, необходимо вычислить среднюю премию за риск:
. Итак, для заданного инвестиционного проекта средняя премия за риск 4%.
Расчёт эффективности инвестиций представляет собой описание ожидаемых экономических результатов от запланированных капитальных вложений. Эффективность инвестиционных проектов характеризуется системой показателей:
1) чистый дисконтированный доход (ЧДД) или интегральный доход;
2) индекс доходности (ИД);
3) внутренняя норма доходности (ВНД);
4) срок окупаемости (
).
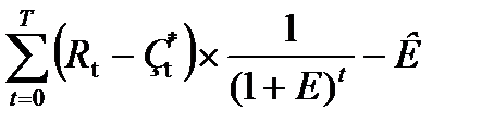
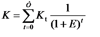
ЧДД = 
где
– результаты, достигаемые на t -том шаге расчета;
– затраты, осуществляемые на том же шаге;
Е – норма дисконта;
t – номер шага расчета (t = 0, 1, 2... Т);
K – дисконтированные капиталовложения.
Для проведения разновременных затрат, результатов и эффектов используется норма дисконта (Е), равная приемлемой для инвестора норме дохода на капитал.
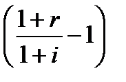
Для расчёта дисконтированного дохода определим норму дисконта:
Е =
+
,
где r – ставка рефинансирования, объявленная ЦБ РФ на данный период, 12%;
i – темп инфляции, объявленный Правительством РФ на данный период, 10%;
р – поправка на предпринимательский риск в зависимости от целей
проекта. Величина р может быть принята 4%;
Е =
+
= 0,04.
В качестве поправки на риск – взята норма для проектов вложений при интенсификации на базе освоенной техники. Получаем Е=4%.
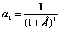
Коэффициент дисконтирования для постоянной нормы дисконта:
,
где t – номер шага расчёта (t =0, 1, 2...n).
ЧДД – это разность между текущей дисконтированной на базе расчётной ставки процента стоимости поступлений от инвестиций и величиной капитальных вложений.
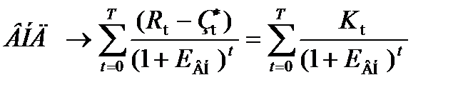
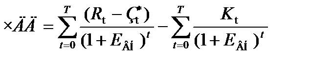
На практике часто пользуются модифицированной формулой. Для этого из состава
исключают капитальные вложения и обозначают через K:
,
где
– капитальные вложения на t-том шаге;
K – сумма дисконтированных капиталовложений.
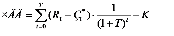
Тогда формула ЧДД примет вид:
,
где
– затраты на t-том шаге учета капиталовложений.
Индекс доходности (ИД) представляет собой отношение суммы приведённых эффектов к величине капиталовложений:

Правило: если ЧДД >0, а ИД > 1, то проект эффективен.
Внутренняя норма доходности (ВНД) представляет собой ту норму дисконта (
), при которой величина приведённых эффектов равна приведённым капиталовложениям. ВНД определяется из условия:

По которому при ставке дисконта
чистый дисконтированный доход (ЧДД) окажется равным нулю: в этом случае

Правило: если ВНД равна или больше требуемой инвестором нормы дохода на капитал, то инвестиции в данный инвестиционный проект оправданы.
Срок окупаемости проекта (СО) – время, за которое поступления от производственной деятельности предприятия покроют затраты на инвестиции. Измеряется СО в годах или месяцах.
Результаты и затраты, связанные с осуществлением проекта, можно вычислить с дисконтированием или без него. Соответственно получается два различных срока окупаемости. Срок окупаемости рекомендуется определять с использованием дисконтирования.
где
– годовая величина экономии при реализации проектных решений.
Расчёт ЧДД и ИД представлен в таблице 4.5
Таблица 4.5 Расчёт ЧДД и ИД
| показатель | годы | |||||||||
| Инвестиции проекта, тыс.руб. | 1332,67 | |||||||||
| Дополнительный доход при отсутствии аварийных отключений, тыс.руб. | 420,0 | 420,0 | 420,0 | 420,0 | 420,0 | 420,0 | 420,0 | 420,0 | 420,0 | |
| Эксплуатационные расходы, тыс.руб. | 173,7 | 173,7 | 173,7 | 173,7 | 173,7 | 173,7 | 173,7 | 173,7 | 173,7 | |
| Амортизация, тыс.руб. | 50,0 | 50,0 | 50,0 | 50,0 | 50,0 | 50,0 | 50,0 | 50,0 | 50,0 | |
| Чистый денежный поток, тыс.руб. | -1332,7 | 296,3 | 296,3 | 296,3 | 296,3 | 296,3 | 296,3 | 296,3 | 296,3 | 296,3 |
| Чистый денежный поток нарастающим итогом, тыс.руб. | -1332,7 | -1036,3 | -740,0 | -443,7 | -147,3 | 149,0 | 445,4 | 741,7 | 1038,1 | 1334,4 |
| Коэффициент дисконтирования, тыс.руб. | 0,93 | 0,87 | 0,81 | 0,76 | 0,71 | 0,66 | 0,62 | 0,58 | 0,54 | |
| Дисконтированный денежный поток, тыс.руб. | -1332,7 | 276,7 | 258,4 | 241,2 | 225,2 | 210,3 | 196,4 | 183,3 | 171,2 | 159,8 |
| Дисконтированный денежный поток нарастающим итогом, тыс.руб. | -1332,7 | -1056,0 | -797,6 | -556,4 | -331,2 | -120,9 | 75,5 | 258,8 | 430,0 | 589,9 |
| ИД | 1,4 | 0,2 | 0,4 | 0,6 | 0,8 | 0,9 | 1,1 | 1,2 | 1,3 | 1,4 |
| NPV, тыс.руб. | 589,9 | |||||||||
| IRR, % (Внутренняя норма доходности) | 18 % | |||||||||
| Срок окупаемости простой, лет | 4,5 | |||||||||
| Срок окупаемости дисконтированный, лет | 5,1 |
Таблица 4.6 Показатели эффективности проекта
| № | Наименование показателей | Единица измерения | Величина |
| Инвестиции в реализацию проекта | тыс.руб. | 1332,67 | |
| Годовая экономия от реализации проекта | тыс.руб. | 420,0 | |
| ЧДД за 9 лет | тыс.руб. | 589,9 | |
| ВНД | % | ||
| ИД | 1,4 | ||
| Срок окупаемости простой | лет | 4,5 | |
| Срок окупаемости дисконтированый | лет | 5,1 |
Рисунок 4.5
Рисунок 4.6
На основании анализа технико-экономических показателей можно сделать вывод о том, что проект целесообразен.






