Задача 1
Задание
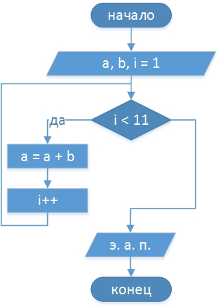
Вывести первые 10 членов арифметической прогрессии Ai=Ai-1 + B на экран.
Пользователь вводит A0, B. Без массива.
Неформализованное описание
1. Вводим нулевой член прогрессии и шаг
2. Пока номер элемента меньше 11, прибавляем к предыдущему элементу b
3. Выводим первые 10 элементов арифметической прогрессии
Блок-схема алгоритма и код программы на языке СИ
| БСА | Программа на СИ |
| #include "stdafx.h" #include "conio.h" #include <iostream> int _tmain(int argc, _TCHAR* argv[]) { setlocale(LC_ALL, "Russian"); int a, b, i = 1; printf("Введите a0: "); scanf_s("%d", &a); printf("Введите b: "); scanf_s("%d", &b); while (i < 11) { a = a + b; printf("a%d = %d\n", i, a); i++; } _getch(); return 0; } |
Пример работы программы

Задача 2
Задание
Вывести таблицу умножения на экран. Без массива.






