Лабораторная работа № 3
ИССЛЕДОВАНИЕ ДВУХКАСКАДНОГО УСИЛИТЕЛЯ МОЩНОСТИ
ЗАДАНИЕ
Рассчитать элементы предварительного двухкаскадного усилителя (рисунок3.1).
Исходные данные:
Внутреннее сопротивление источника Rист=50 Ом
Нагрузка Rн=300Ом
Кuобщ=30
Uип=0,1 В
f0=1 кГц
fн=100Гц
fв=20кГц
Амплитуда выходного сигнала – 2 В
Транзисторы-2N3904

Рисунок 3.1 ‑ Двухкаскадный усилитель
МНОГОКАСКАДНЫЙ УСИЛИТЕЛЬ
В многокаскадных усилителях источником сигнала для каждого каскада является выходная цепь предыдущего каскада, а нагрузочной ‑ входная цепь последующего.
На приведённой схеме ёмкости c1 и c2, являются проходными, а c3 ‑ пропускает во входную во входную цепь усилительного каскада переменную составляющую напряжения источника сигнала и не пропускает постоянную составляющую.
В области средних частот ёмкости с1, с2 и с3 предполагаются бесконечно большими. Ёмкости ск, сн (коллекторная ёмкость и ёмкость нагрузки), и паразитные ёмкости равны нулю.
РАСЧЕТ МНОГОКАСКАДНОГО УСИЛИТЕЛЯ
|
|
|
Как правило, усилительные устройства являются многокаскадными, так как с помощью одного каскада обычно не удается обеспечить необходимое усиление. Основное усиление по напряжению обеспечивается в каскадах предварительного усиления. Из них обычно выделяют входной каскад, схема которого зависит от требований по сопряжению с источником сигнала, допустимому дрейфу нуля и т.п. Спецификой выходного каскада является обеспечение заданной мощности или амплитуды выходного сигнала, ограничения по допустимому уровню искажений, работа на низкоомную нагрузку и т.д. Предоконечный каскад также может иметь специфические особенности, связанные с условием работы выходного каскада, например, с требованием обеспечить на его входе значительную мощность сигнала.
Каждый каскад рассчитывается как однокаскадный усилитель, но с учетом обеспечения оптимальных условий согласования смежных каскадов.
На практике применяются два режима согласования. В первом случае выходное сопротивление предыдущего каскада делается примерно равным входному сопротивлению последующего каскада. Такой режим обеспечивает максимальное усиление мощности и применяется в оконечных каскадах.
Во втором случае выходное сопротивление предыдущего каскада существенно меньше, чем входное сопротивление последующего. Такой режим обеспечивает наибольшее усиление напряжения и равномерную АЧХ и нашел применение в предварительных каскадах.
Связь между каскадами обычно выполняется с использованием блокирующих конденсаторов, но в некоторых случаях применяют трансформаторную связь. Межкаскадный трансформатор является относительно дорогим и тяжелым элементов. Его применение целесообразно только в тех случаях, когда выходное сопротивление предыдущего каскада существенно больше, чем входное сопротивление последующего. Следует отметить, что применяя межкаскадные трансформаторы, возможно получить существенно больший коэффициент усиления, чем при емкостной связи.
|
|
|
Существует также и режим непосредственной связи между каскадами (без блокирующих конденсаторов или трансформаторов). В этом случае два (или более) каскада работают в одном режиме по постоянному току. Такая схема применяется, например, в операционных усилителях.
При построении широкополосных усилителей на биполярных транзисторах основное внимание уделяют их частотным свойствам, позволяющим при заданном коэффициенте усиления одного каскада в области средних частот
обеспечить требуемую верхнюю граничную частоту
, а, следовательно, и площадь усилителя одного каскада
(1.1)
Если многокаскадный усилитель с верхней граничной частотой
содержит N одинаковых каскадов, а искажения на верхних частотах распределены между каскадами равномерно, то связь между
и
устанавливается соотношением
(1.2)
где
- функция, учитывающая уменьшение
с ростом числа каскадов.
Если отдельные однотипные каскады развязаны между собой по постоянному току, что приводит к искажения в области нижних частот, то нижняя граничная частота одного каскада
связана с
всего усилителя соотношением
(1.3)
Общий коэффициент усиления N- каскадного усилителя с учетом (1.1) и (1.2)
(1.4)
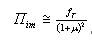
Максимальная площадь усиления дифференциального каскада или каскада с общим эмиттером на биполярном транзисторе может быть оценена по формуле
(1.5)
где высокочастотный параметр
определяется паспортными параметрами транзистора.
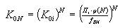
Если заданы
и
, то, используя выражение (1.4) и ориентируясь на максимальную площадь усилителя
, можно оценить необходимое количество каскадов усилителя, подобрав N, удовлетворяющее условию:
(1.6)
Полутора кратный запас по усилению учитывает, в частности, потери сигнала во входной цепи усилителя. Коэффициент К следует брать К=1 - для простейших резистивных каскадов; К=1.5 - для случая применения во всех каскадах высокочастотной коррекции. Последнее позволяет ослабить требования к частотным свойствам транзистора и обеспечить необходимый коэффициент усиления и заданную полосу пропускания меньшим числом каскадов.
В импульсных усилителях основное внимание уделяется переходным искажениям, в частности, времени установления усилителя
. Для усилителя из N однотипных каскадов
связано с требуемым временем установления
каждого из каскадов соотношением
(1.7)
Поскольку усилитель обычно содержит один или несколько одинаковых предварительных каскадов, а также выходной каскад и входную цепь с временем установления соответственно
и
, то общее время установления
.
Усиление низкочастотных и импульсных сигналов осуществляется апериодическими усилителями. Типовая схема двухкаскадного резистивного усилителя представлена на рисунке 3.2.

Рисунок 3.2 – Апериодический усилитель
Элементы усилительного каскада выполняют следующие функции:
- Rб1, Rб2, Rэ обеспечивают выбранное положение рабочей точки (РТ) и температурную стабилизацию транзистора;
- Rф, Cф осуществляют развязку каскада в диапазоне усиливаемых частот и повышают устойчивость работы усилителя;
- Ср разделяет усилительные каскады по постоянному току;
- Rк является коллекторной нагрузкой транзистора;
- Сэ устраняет отрицательную обратную связь по переменному току;
- gН проводимость потребителя.
При условии слабых сигналов, когда выходное напряжениеUвых существенно меньше напряженияUкэ, можно считать, что каскад работает в линейном режиме. В этом случае расчет усилителя сводится к следующему.
|
|
|
Исходными данными для оконечных усилительных каскадов непрерывных сигналов являются: К0 - коэффициент усиления; fв и fн - верхняя и нижняя граничные частоты.
Расчет производится в следующей последовательности.
1. Выбирают тип биполярного транзистора, позволяющего реализовать требуемый коэффициент усиления и полосу пропускания при заданных частотных искажениях:
(2.1)
где 
Определяют параметры транзистора g11, C11, g12, C12, |Y21|=S, g22=gi и C22 на средней частоте усиления.
2. Находят нагрузочную коллекторную проводимость gн для обеспечения заданного усиления и полосы пропускания:
, (2.2)
, (2.3)
. (2.4)
3. Вычисляют входную проводимость и емкость усилительного каскада.
(2.5)
(2.6)
4. Разделительную емкость Ср определяют по заданным искажениям Мн на нижней граничной частоте:
(2.7)
где
.
5. И наконец находят емкость Сэ:
(2.8)
3.4 Расчет "Y"-параметров транзистора
Основными активными приборами усилительных устройств радиочастотного диапазона являются биполярные и полевые транзисторы. Расчет характеристик усилителей умеренно высоких частот удобно проводить по Y-параметрам транзисторов, определенным для выбранной рабочей точки (РТ) по постоянному ток и схемы включения (ОЭ, ОБ, ОК, ОИ, ОЗ, ОС).
В инженерной практике широко используется физическая эквивалентная схема биполярного транзистора, представленная на рисунке 3.3, которая достаточно точно отражает его свойства в частотном диапазоне до 0,5 fт, где fт - граничная частота усиления тока базы в схеме с общим эмиттером (ОЭ).

Рисунок 3.3 – Эквивалентная схема биполярного транзистора
Рассчитывают элементы эквивалентной схемы и Y-параметры биполярного транзистора. Для типового режима работы (заданной РТ) обычно приводятся следующие электрические параметры:
-Uкэ - постоянное напряжение коллектор-эмиттер;
-Iк - постоянный ток коллектора;
-
- статический коэффициент усиления тока базы в схеме с ОЭ.
-|h21э| - модуль коэффициента усиления тока базы на частоте f или |h21э|f.
-Cк - емкость коллекторного перехода.
|
|
|
Элементы эквивалентной схемы определяется с помощью следующих соотношений.
Параметр G, характеризующий активность транзисторов:
.
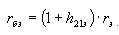
Сопротивление растекания базы rб:
.
Дифференциальное сопротивление эмиттерного перехода rбэ:

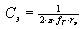
Емкость эмиттерного перехода Сэ:

Для удобства часто пользуются расчетами активных и реактивных составляющих проводимостей по формулам, максимально использующим данные транзисторов.