- на работах с тяжелыми и вредными условиями труда [5,с.66,ф.6.5];
(6.5)

где:
- средняя месячная тарифная ставка ремонтного рабочего, руб., определяется по формуле: [5,с.66,ф.6.6];
(6.6)

где:
- процент доплат на работах с тяжелыми и вредными условиями труда, %;=8%
- численность рабочих с тяжелыми и вредными условиями труда, чел.
Доплата за работу в вечернее время определяется по формуле:[5,с.66,ф.6.9];
(6.8)

где: 20 - размер доплаты за работу в вечернее время, %;
Твч - количество часов, отработанное одним рабочим в вечернее время, то есть в период с 18 ч до 22 часов утра, ч;
Двч - количество рабочих дней в году с работой в вечернее время, дн.;
- количество ремонтных рабочих, работающих в вечернее время, чел.
6.1.1.6. Доплата за руководство бригадой бригадирам, не освобожденным от основной работы определяется по формуле: [5,с.66,ф.6.10];
(6.9)

где:
- доплата за руководство бригадой за месяц, руб.
(6.10)

- в расчетах можно принять при численности бригады до 10 человек -20%; при численности свыше 10 человек - 25%; при численности свыше 25 человек - 35% от минимальной заработной платы по отрасли;
|
|
|
- минимальная заработная плата по отрасли (см. методическое письмо);
- количество бригадиров.=1,
6.1.1.7. Премии определяются по формуле: [5,с.67,ф.6.12];
(6.11)
(после реконструкции)
(до реконструкции)
где:
- процент премии (в расчетах принимать от 60 до 80%)
6.1.1.8. Фонд заработной платы за отработанное время - ФЗПот.в. [5,с.67,ф.6.13];
(6.12)

(до реконструкции)

(после реконструкции)
6.1.1.9. Фонд заработной платы за неотработанное время – ФЗПнеот.в [5,с.67,ф.6.14];
(6.13)


где:
- процент заработной платы за неотработанное время (в расчетах принять 10,2%)
6.1.1.10. Общий фонд заработной платы ремонтных рабочих определяется по формуле: [5,с.68,ф.6.15];
(6.14)


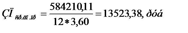
6.1.1.11. Среднемесячная заработная плата ремонтного рабочего определяется по формуле: [5,с.68,ф.6.16];
(6.15)


где:
- штатная численность ремонтных рабочих по объекту проектирования.
Штатная численность ремонтных рабочих по проекту устанавливается в пункте 2.7. Технологического раздела (формула 2.49). Численность ремонтных рабочих до внедрения проекта нужно рассчитать по приведенным в этом разделе формулам с учетом годовой трудоемкости работ по объекту проектирования.
В данном расчете численность ремонтных рабочих принять с точностью до 0,01.
План по труду и заработной плате ремонтных рабочих
Таблица 6.1.
| Наименование показателей | По проекту | До проекта |
| 1. Списочная численность ремонтных рабочих, чел. 2. Фонд заработной платы ремонтных рабочих, руб. 3. Доплаты, руб. а) за вредные условия труда в) за работу в вечернее время г) за бригадирство 4. Сумма премий из фонда заработной платы, руб. 5. Фонд заработной платы за отработанное время, руб. 6. Фонд заработной платы за неотработанное время, руб. 7. Общий фонд заработной платы ремонтных рабочих, руб. 8. Среднемесячная заработная плата ремонтных рабочих, руб. | 417425,82 33040,08 16782,32 3339,43 490987,22 50080,46 540164,69 14954,72 | 456263,82 33040,08 16782,32 3650,12 530136,22 54073,89 584210,11 13523,38 |
|
|
|






