6.3.1. Амортизация зданий определяется по формуле: [5,с.75,ф.6.32];
(6.18)

где: Сз – стоимость здания. Стоимость здания принять по данным автопредприятия или рассчитать на основе укрупненных данных стоимости 1м3 здания;
Нам – норма амортизации здания (3-7%);
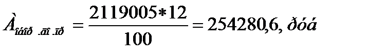
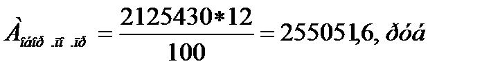
6.3.2. Амортизация оборудования определяется по формуле: [5,с.75,ф.6.35];
(6.19)


где: Собор – общая стоимость оборудования (по проекту определяется по перечню оборудования и его стоимость в Организационном разделе, пункт 3.7) руб.
12 – норма амортизации оборудования, %.
6.3.3. Итого амортизации основных производственных фондов, обслуживающих процесс ТР определяется по формуле: [5,с.75,ф.6.36];
(6.20)








