6.7.2.1. Годовая экономия на эксплуатационных затратах от снижения себестоимости за счет снижения трудоемкости определяется по формуле: [5,с.85,ф.6.72];
(6.47)

6.7.2.2. Итого годовая экономия определяется по формуле: [5,с.85,ф.6.75];
(6.48)
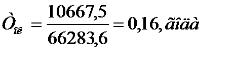
6.7.2.3. Срок окупаемости капитальных вложений определяется по формуле: [5,с.86,ф.6.76];
(6.49)

6.7.2.4. Экономический эффект от внедрения проекта определяется по формуле: [5,с.86,ф.6.77];
(6.50)

где: Ен -нормативный коэффициент эффективности капитальных вложений- 0,15.
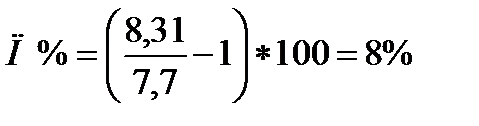
6.7.2.5. Снижение трудоемкости в процентах определяется по формуле: [5,с.86,ф.6.81];
(6.51)

Сравнительная таблица технико-экономических показателей
| Наименование показателей | До внедрения | По проекту | Изменение показателей | |
| в натур. показат. | в проц. | |||
| 1.Среднесписочное количество автомобилей, ед. | - | - | ||
| 2.Общий пробег всех автомобилей, тыс. км. | - | - | ||
| 3.Коэффициент технической готовности. | 0,88 | 0,88 | - | - |
| 4.Коэффициент выпуска. | 0,69 | 0,69 | - | - |
| 5.Трудоемкость, приходящаяся на 1000 км пробега или на единицу работ, услуг, чел.-ч | 8,31 | 7.7 | 0.61 | |
| 6. Общая производственная программа участка, чел.-ч. | 6633,67 | 6069,55 | ||
| 7. Среднесписочная численность работников участка, чел. | ||||
| 8. Среднемесячная заработная плата, руб. | 13523,38 | 14954,72 | 1431,34 | |
| 9. Смета затрат, тыс. руб. 9.1.Фонд заработной платы ремонтных рабочих 9.2. Отчисления на соц. нужды 9.3. Затраты на материалы 9.4. Общехозяйственные расходы | 584210,11 175263,03 96841,25 415762,91 | 540164,69 162049,4 94020,64 408787,98 | 44045,42 13213,6 2820,61 66974,93 | |
| 10.Себестоимость текущего ремонта на 1000 км пробега или себестоимость единицы продукции, работ, услуг (ТО), руб. | 248,18 | 260,32 | 12,14 | 3,8 |
| 11.Годовая экономия от внедрения проекта, тыс. руб. | - | 66283,6 | - | - |
| 12.Сумма дополнительных капитальных вложений, тыс. руб. | - | 10667,5 | - | - |
| 13. Срок окупаемости, мес | - | - | - | |
| 14.Экономический эффект от внедрения проекта, тыс. руб. | - | 64683,48 | - | - |
|
|
|






