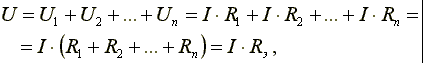
На рис. 2.1 изображена электрическая цепь с последовательно соединенными сопротивлениями.
Рис. 2.1
Напряжение на зажимах источника ЭДС равно величине электродвижущей силы. Поэтому часто источник на схеме не изображают.
Падения напряжений на сопротивлениях определяются по формулам

В соответствии со вторым законом Кирхгофа, напряжение на входе электрической цепи равно сумме падений напряжений на сопротивлениях цепи.

где
- эквивалентное сопротивление.
Эквивалентное сопротивление электрической цепи, состоящей из n последовательно включенных элементов, равно сумме сопротивлений этих элементов.
2.2. Параллельное соединение элементов
электрических цепей
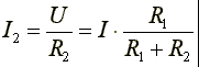
На рис. 2.2 показана электрическая цепь с параллельным соединением сопротивлений.
Рис. 2.2
Токи в параллельных ветвях определяются по формулам:

где
- проводимости 1-й, 2-й и n-й ветвей.
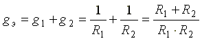
В соответствии с первым законом Кирхгофа, ток в неразветвленной части схемы равен сумме токов в параллельных ветвях.

где 
Эквивалентная проводимость электрической цепи, состоящей из n параллельно включенных элементов, равна сумме проводимостей параллельно включенных элементов.
Эквивалентным сопротивлением цепи называется величина, обратная эквивалентной проводимости

Пусть электрическая схема содержит три параллельно включенных сопротивления.
Эквивалентная проводимость


Эквивалентное сопротивление схемы, состоящей из n одинаковых элементов, в n раз меньше сопротивлений R одного элемента

Возьмем схему, состоящую из двух параллельно включенных сопротивлений (рис. 2.3). Известны величины сопротивлений и ток в неразветвленной части схемы. Необходимо определить токи в параллельных ветвях.
Рис. 2.3 Эквивалентная проводимость схемы
,
а эквивалентное сопротивление
Напряжение на входе схемы
Токи в параллельных ветвях
Аналогично

Ток в параллельной ветви равен току в неразветвленной части схемы, умноженному на сопротивление противолежащей, чужой параллельной ветви и деленному на сумму сопротивлений чужой и своей параллельно включенных ветвей.
2.3.Преобразование треугольника сопротивлений
в эквивалентную звезду
Встречаются схемы, в которых отсутствуют сопротивления, включенные последовательно или параллельно, например, мостовая схема, изображенная на рис. 2.4. Определить эквивалентное сопротивление этой схемы относительно ветви с источником ЭДС описанными выше методами нельзя. Если треугольник сопротивлений R1-R2-R3, включенных между узлами 1-2-3 заменить трехлучевой звездой сопротивлений, лучи которой расходятся из точки 0 в те же узлы 1-2-3, эквивалентное сопротивление полученной схемы легко определяется.
Рис. 2.4 Сопротивление луча эквивалентной звезды сопротивлений равно произведению сопротивлений прилегающих сторон треугольника, деленному на сумму сопротивлений всех сторон треугольника.
В соответствии с указанным правилом, сопротивления лучей звезды определяются по формулам:
Эквивалентное соединение полученной схемы определяется по формуле

Сопротивления R0 и Rλ1 включены последовательно, а ветви с сопротивлениями Rλ1 + R4 и Rλ3 + R5 соединены параллельно.
2.4.Преобразование звезды сопротивлений
в эквивалентный треугольник
Иногда для упрощения схемы полезно преобразовать звезду сопротивлений в эквивалентный треугольник.
Рассмотрим схему на рис. 2.5. Заменим звезду сопротивлений R1-R2-R3 эквивалентным треугольником сопротивлений RΔ1-RΔ2-RΔ3, включенных между узлами 1-2-3.
2.5. Преобразование звезды сопротивлений
в эквивалентный треугольник
Сопротивление стороны эквивалентного треугольника сопротивлений равно сумме сопротивлений двух прилегающих лучей звезды плюс произведение этих же сопротивлений, деленное на сопротивление оставшегося (противолежащего) луча. Сопротивления сторон треугольника определяются по формулам:

Эквивалентное сопротивление преобразованной схемы равно







