3.10.1. Определение входного сопротивления двухполюсника.
Для экспериментального определения входного сопротивления двухполюсника, собирают электрическую схему, приведенную на рисунке 3._*.

Рисунок 3._* - Электрическая схема для экспериментального определения входного сопротивления двухполюсника
В электрической схеме, приведенной на рис. 3._*, амперметр А измеряет силу тока
, вольтметр V – напряжение на входе двухполюсника
, ваттметр W – активную мощность двухполюсника
.
По показанием амперметра, вольтметра и вольтметра определяем входное сопротивление пассивного двухполюсника:
1. Модуль входного сопротивления:
,
2. Коэффициент мощности:
,
3. Активная и реактивная составляющие входного сопротивления:
,
.
Таким образом, величина входного сопротивления двухполюсника соответственно равна:
.
Для определения характера входного сопротивления необходимо использовать содержание инструментальной базы двухполюсника или фазометр.
На рисунке 3._** приведена схема включения фазометра для определения характера входного сопротивления двухполюсника.
|
|
|

Рисунок 3._** - Электрическая схема определения характера входного сопротивления двухполюсника
3.10.2. Исследование свойств цепей синусоидального тока при последовательном соединении элементов
Целью исследований является определение параметров последовательно соединенных элементов и свойств цепей при последовательном соединении.
3.10.2.1. Последовательное соединение катушки индуктивности и резистивного элемента
На рисунке 3._/ приведена схема последовательного соединения катушки индуктивности с параметрами rk, xk и резистивного элемента r.

Рисунок 3.1* - Последовательное соединение активного сопротивления и катушки индуктивности
Параметры цепей переменного тока (r, rk, xk) можно определять по показаниям амперметра, вольтметра и ваттметра и с использованием векторных диаграмм.
Определим параметры катушки индуктивности и резистивного элемента по показаниям приборов: амперметр А измеряет силу тока
, вольтметр V – напряжение источника питания
, вольтметр V1 – напряжение на резистивном элементе
, вольтметр V2 – напряжение на катушке индуктивности
, ваттметр W – активную мощность
, равную мощности резистивного элемента r и активной составляющей мощности на индуктивном элементе rk.
Модуль входного сопротивления:
.
Величина сопротивления на резистивном элементе:
.
Величина активной составляющей катушки индуктивности:
.
Полное сопротивление катушки индуктивности:
.
Величина реактивной составляющей катушки индуктивности:
.
Величина входного сопротивления двухполюсника соответственно равна:
|
|
|
.
Определим параметры катушки индуктивности и резистивного элемента с использованием векторной диаграммы рассматриваемой цепи приведенной на рисунке 3._.

Рисунок 3.1* - Векторная диаграмма последовательное соединение
активного сопротивления и катушки индуктивности
Алгоритм построения векторной диаграммы следующий: вначале по действительной оси откладываем величину тока
. Так как падение напряжения на резистивном элементе
совпадает по фазе с током, то величина
направлена также по действительной оси. Далее, с конца и начала
, с помощью циркуля, проводим окружности радиусов
и
соответственно. С точки пересечения двух окружностей, опускаем перпендикуляр на действительную ось. Величина перпендикуляра равна реактивной составляющей напряжения катушки
. Проекция
на действительную ось равна активной составляющей напряжения катушки
.
Параметры катушки индуктивности и резистивного элемента с использованием векторной диаграммы определяем с применением математического аппарата.
Величина сопротивления на резистивном элементе:
.
Угол
– угол между величиной тока и напряжением на катушке индуктивности определяем с использованием теоремы косинусов:
.
Активная и реактивная составляющие напряжения на катушке
и
соответственно равны:
,
.
Параметры катушки соответственно равны:
,
.
Используя векторную диаграмму, определяем сдвиг по фазе
между током цепи
и приложенным к цепи напряжением
, применив теорему косинусов:
.
Определяем активную мощность цепи:
.
Полученный результат сравнивают с показанием ваттметра рассматриваемой схемы при последовательном соединении катушки индуктивности и резистивного элемента (рис. 3._).
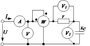
3.10.2.2. Последовательное соединение резистивного и емкостного элементов
На рисунке 3._/ приведена схема последовательного соединения резистивного r и емкостного xС элементов.

Рисунок 3.1* - Последовательное соединение резистивного и емкостного элементов
Определим параметры резистивного и емкостного элементовпо показаниям приборов: амперметр А измеряет силу тока
, вольтметр V – напряжение источника питания
, вольтметр V1 – напряжение на резистивном элементе
, вольтметр V2 – напряжение на емкостном элементе
, ваттметр W – активную мощность
, равную мощности резистивного элемента.
Модуль входного сопротивления:
.
Величина сопротивления на резистивном элементе:
.
.
Величина входного сопротивления двухполюсника соответственно равна:
.
Определим параметры резистивного и емкостного элементов с использованием векторной диаграммы рассматриваемой цепи приведенной на рисунке 3._.

Рисунок 3.1* - Векторная диаграмма последовательное соединение
резистивного и емкостного элементов
Параметры резистивного и емкостного элементов с использованием векторной диаграммы определяем с применением математического аппарата.
Величина сопротивления на резистивном элементе:
.
Величина емкостного сопротивления:
.
Используя векторную диаграмму, определяем сдвиг по фазе
между током цепи
и приложенным к цепи напряжением
:
.
Определяем активную мощность цепи:
.
Полученный результат сравнивают с показанием ваттметра рассматриваемой схемы при последовательном соединении резистивного и емкостного элементов (рис. 3._).
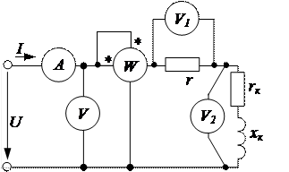
3.10.2.3. Последовательное соединение катушки индуктивности, резистивного и емкостного элементов
На рисунке 3._/ приведена схема последовательного соединения катушки индуктивности с параметрами rk и xk, резистивного элемента с параметрами r и емкостного элемента с параметрами xС.
В зависимости от величин xk и xС в цепях переменного тока при последовательном соединении, возможны три случая:
1. xk > xС,
2. xk < xС,
3. xk = xС.
Рассмотрим алгоритм определения параметров rk и xk, r и xС для каждого случая.
|
|
|

Рисунок 3.1* - Последовательное соединение катушки индуктивности, резистивного и емкостного элементов
1. Определим параметры катушки индуктивности, резистивного и емкостного элементов для случая xk > xС по показаниям приборов: амперметр А измеряет силу тока
, вольтметр V – напряжение источника питания
, вольтметр V1 – напряжение на резистивном элементе
, вольтметр V2 – напряжение на катушке индуктивности
, вольтметр V3 – напряжение на емкостном элементе
, вольтметр V4 – напряжение на последовательном соединении резистивном элемента и катушки индуктивности
, ваттметр W – активную мощность
, равную мощности резистивного элемента r и активной составляющей мощности на индуктивном элементе rk.
Модуль входного сопротивления:
.
Величина сопротивления на резистивном элементе:
.
Величина емкостного сопротивления:
.
Величина активной составляющей катушки индуктивности:
.
Полное сопротивление катушки индуктивности:
.
Величина реактивной составляющей катушки индуктивности:
.
Величина входного сопротивления двухполюсника соответственно равна:
.
Определим параметры катушки индуктивности, резистивного и емкостного элементов с использованием векторной диаграммы рассматриваемой цепи приведенной на рисунке 3._.

Рисунок 3.1* - Векторная диаграмма последовательного соединения катушки индуктивности, резистивного и емкостного элементов
Алгоритм построения векторной диаграммы следующий: вначале по действительной оси откладываем величину тока
. Так как падение напряжения на резистивном элементе
совпадает по фазе с током, то величина
направлена также по действительной оси. Далее, с конца и начала
, с помощью циркуля, проводим окружности радиусов
,
соответственно. С точки пересечения двух окружностей откладываем падение напряжения на емкостном элементе
и опускаем перпендикуляр на действительную ось. Величина перпендикуляра равна реактивной составляющей напряжения катушки
. Проекция
на действительную ось равна активной составляющей напряжения катушки
. Соединив начало
с концом
, получим напряжение источника питания
.
|
|
|
Определяем параметры катушки индуктивности, резистивного и емкостного элементов с использованием векторной диаграммы.
Величина сопротивления на резистивном элементе:
.
Угол
– угол между величиной тока и напряжением на катушке индуктивности определяем с использованием теоремы косинусов:
.
Активная и реактивная составляющие напряжения на катушке
и
соответственно равны:
,
.
Параметры катушки соответственно равны:
,
.
Величина емкостного сопротивления:
.
Используя векторную диаграмму, определяем сдвиг по фазе
между током цепи
и приложенным к цепи напряжением
:
.
Определяем активную мощность цепи:
.
Полученный результат сравнивают с показанием ваттметра рассматриваемой схемы при последовательном соединении катушки индуктивности и резистивного элемента (рис. 3._).
2. Параметры катушки индуктивности, резистивного и емкостного элементов для случая xk < xС по показаниям приборов определяются аналогично приведенному выше алгоритму для случая xk > xС.
Определим параметры катушки индуктивности, резистивного и емкостного элементов с использованием векторной диаграммы рассматриваемой цепи приведенной на рисунке 3._.

Рисунок 3.1* - Векторная диаграмма последовательного соединения катушки индуктивности, резистивного и емкостного элементов
Алгоритмы построения векторной диаграммы и определение параметров катушки индуктивности, резистивного и емкостного элементов с использованием векторной диаграммы при xk < xС аналогичен вышеприведенному случаю при xk > xС.
3. Определим параметры катушки индуктивности, резистивного и емкостного элементов для случая xk = xС по показаниям приборов.
Параметры катушки индуктивности, резистивного и емкостного элементов для случая xk = xС по показаниям приборов определяются аналогично приведенному выше алгоритму для случая xk > xС.
Для рассматриваемого случая величина входного сопротивления двухполюсника равна:
.
Определим параметры катушки индуктивности, резистивного и емкостного элементов с использованием векторной диаграммы рассматриваемой цепи приведенной на рисунке 3._.

Рисунок 3.1* - Векторная диаграмма последовательного соединения катушки индуктивности, резистивного и емкостного элементов
Алгоритмы построения векторной диаграммы и определение параметров катушки индуктивности, резистивного и емкостного элементов с использованием векторной диаграммы при xk = xС аналогичен вышеприведенному случаю при xk > xС.
Для рассматриваемого случая сдвиг по фазе
между током цепи
и приложенным к цепи напряжением
:
.
Определяем активную мощность цепи:
.
Полученный результат сравнивают с показанием ваттметра рассматриваемой схемы при последовательном соединении катушки индуктивности и резистивного элемента (рис. 3._).
3.10.3. Исследование свойств цепей синусоидального тока при параллельном соединении элементов
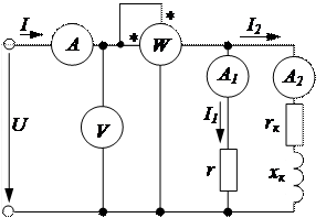
3.10.3.1. Параллельное соединение катушки индуктивности и резистивного элемента
На рисунке 3._/ приведена схема параллельного соединения катушки индуктивности с параметрами rk, xk и резистивного элемента r.

Рисунок 3.1* - Параллельное соединение резистивного элемента и катушки индуктивности
Параметры цепей переменного тока (r, rk, xk) можно определять по показаниям амперметров, вольтметра и ваттметра и с использованием векторных диаграмм.
Определим параметры катушки индуктивности и резистивного элемента по показаниям приборов: амперметр А измеряет силу тока в неразветвленном участке цепи
, вольтметр V – напряжение источника питания
, амперметр А1 – величину тока на резистивном элементе
, амперметр А2 – величину тока на катушке индуктивности
, ваттметр W – активную мощность
, равную мощности резистивного элемента r и активной составляющей мощности на индуктивном элементе rk.
Модуль входного сопротивления:
.
Величина сопротивления на резистивном элементе:
.
Величина активной составляющей катушки индуктивности:
.
Полное сопротивление катушки индуктивности:
.
Величина реактивной составляющей катушки индуктивности:
.
Величина входного сопротивления двухполюсника соответственно равна:
.
Определим параметры катушки индуктивности и резистивного элемента с использованием векторной диаграммы рассматриваемой цепи приведенной на рисунке 3._.

Рисунок 3.1* - Векторная диаграмма последовательное соединение
активного сопротивления и катушки индуктивности
Алгоритм построения векторной диаграммы следующий: вначале по действительной оси откладываем величину напряжения источника питания
. Так как падение напряжения на резистивном элементе
совпадает по фазе с током, то величина
направлена также по действительной оси. Далее, с конца и начала
, с помощью циркуля, проводим окружности радиусов
и
соответственно. С точки пересечения двух окружностей, опускаем перпендикуляр на действительную ось. Величина перпендикуляра равна реактивной составляющей тока катушки
. Проекция
на действительную ось равна активной составляющей тока катушки
.
Параметры катушки индуктивности и резистивного элемента определяем с использованием векторной диаграммы.
Величина сопротивления на резистивном элементе:
.
Угол
– угол между величиной тока и напряжением на катушке индуктивности определяем с использованием теоремы косинусов:
.
Активная и реактивная составляющие тока на катушке
и
соответственно равны:
,
.
Параметры катушки соответственно равны:
,
.
Используя векторную диаграмму, определяем сдвиг по фазе
между током цепи
и приложенным к цепи напряжением
, применив теорему косинусов:
.
Определяем активную мощность цепи:
.
Полученный результат сравнивают с показанием ваттметра рассматриваемой схемы при последовательном соединении катушки индуктивности и резистивного элемента (рис. 3._).
3.10.3.2. Параллельное соединение резистивного и емкостного элементов
На рисунке 3._/ приведена схема параллельного соединения резистивного r и емкостного xС элементов.

Рисунок 3.1* - Параллельное соединение резистивного и емкостного элементов
Определим параметры резистивного и емкостного элементовпо показаниям приборов: амперметр А измеряет силу тока в неразветвленном участке цепи
, вольтметр V – напряжение источника питания
, амперметр А1 – величину тока на резистивном элементе
, амперметр А2 – величину тока на емкостном элементе
, ваттметр W – активную мощность
, равную мощности резистивного элемента.
Модуль входного сопротивления:
.
Величина сопротивления на резистивном элементе:
.
.
Величина входного сопротивления двухполюсника соответственно равна:
.
Определим параметры резистивного и емкостного элементов с использованием векторной диаграммы рассматриваемой цепи приведенной на рисунке 3._.

Рисунок 3.1* - Векторная диаграмма параллельного соединения
резистивного и емкостного элементов
Параметры резистивного и емкостного элементов определяем с использованием векторной диаграммы.
Величина сопротивления на резистивном элементе:
.
Величина емкостного сопротивления:
.
Используя векторную диаграмму, определяем сдвиг по фазе
между током цепи
и приложенным к цепи напряжением
:
.
Определяем активную мощность цепи:
.
Полученный результат сравнивают с показанием ваттметра рассматриваемой схемы при последовательном соединении резистивного и емкостного элементов (рис. 3._).
3.10.3.3. Параллельное соединение емкостного элемента и катушки индуктивности
На рисунке 3._/ приведена схема параллельного соединения емкостного xС элемента и катушки индуктивности с параметрами rk, xk.

Рисунок 3.1* - Параллельное соединение емкостного элемента и катушки индуктивности
Определим параметры емкостного элемента и катушки индуктивности по показаниям приборов: амперметр А измеряет силу тока в неразветвленном участке цепи
, вольтметр V – напряжение источника питания
, амперметр А1 – величину тока на емкостном элементе
, амперметр А2 – величину тока на емкостном элементе
, ваттметр W – активную мощность
, равную мощности активной составляющей мощности на индуктивном элементе rk.
Модуль входного сопротивления:
.
Величина емкостного сопротивления:
.
Величина активной составляющей катушки индуктивности:
.
Полное сопротивление катушки индуктивности:
.
Величина реактивной составляющей катушки индуктивности:
.
Величина входного сопротивления двухполюсника соответственно равна:
.
Определим параметры емкостного элемента и катушки индуктивности, с использованием векторной диаграммы рассматриваемой цепи приведенной на рисунке 3._.

Рисунок 3.1* - Векторная диаграмма параллельного соединения
резистивного и емкостного элементов
Алгоритм построения векторной диаграммы следующий: вначале по действительной оси откладываем величину напряжения источника питания
. Так как падение напряжения на емкостном элементе xC отстает от тока на 90°, то величина
направлена перпендикулярно действительной оси. Далее, с конца и начала
, с помощью циркуля, проводим окружности радиусов
и
соответственно.
Параметры катушки индуктивности и емкостного элемента определяем с использованием векторной диаграммы.
Величина емкостного сопротивления:
.
Угол
– угол между величиной тока и напряжением на катушке индуктивности определяем с использованием теоремы косинусов:
.
Активная и реактивная составляющие тока на катушке
и
соответственно равны:
,
.
Параметры катушки соответственно равны:
,
.
Используя векторную диаграмму, определяем сдвиг по фазе
между током цепи
и приложенным к цепи напряжением
:

Определяем активную мощность цепи:
.
Полученный результат сравнивают с показанием ваттметра рассматриваемой схемы при последовательном соединении катушки индуктивности и резистивного элемента (рис. 3._).
3.10.3.4. Параллельное соединение катушки индуктивности, емкостного и резистивного элементов
Задача 3.16. Определить величины токов в неразветвленном участке цепи и в ветви с активным сопротивлением (показания амперметров А и А1) при резонансе токов, а также параметры электрической цепи, приведенной на рисунке 3.16, а*, если показания остальных приборов следующие: вольтметр V – 35 В, амперметр А2 – 0,8 А, амперметр А3 – 0,9 А, ваттметр Р – 25,5 Вт.

Рисунок 3.16* - Параллельное соединение резистивного, емкостного и индуктивного сопротивлений при резонансе токов
а) – электрическая схема, б) – векторная диаграмма
При решении используем векторную диаграмму цепи, приведенную на рисунке 3.16, б.
1. Активная составляющая тока
(показание амперметра А)
А.
2. Активная составляющая тока на катушке 
А.
3. Величина тока на активном сопротивлении
(показание амперметра А1).
А.
4. Параметры рассматриваемой электрической цепи соответственно равны
Ом,
Ом,
Ом.
Ом,
Ом,
.
3.10.4. Исследование свойств цепей синусоидального тока при смешанном соединении элементов
На рисунке 3._/ приведена схема параллельного соединения катушки индуктивности с параметрами rk, xk и резистивного элемента r.

Рисунок 3.1* - Параллельное соединение резистивного элемента и катушки индуктивности
Параметры цепей переменного тока (r, rk, xk) можно определять по показаниям амперметров, вольтметра и ваттметра и с использованием векторных диаграмм.
Определим параметры катушки индуктивности и резистивного элемента по показаниям приборов: амперметр А измеряет силу тока в неразветвленном участке цепи
, вольтметр V – напряжение источника питания
, амперметр А1 – величину тока на резистивном элементе
, амперметр А2 – величину тока на катушке индуктивности
, ваттметр W – активную мощность
, равную мощности резистивного элемента r и активной составляющей мощности на индуктивном элементе rk.
Модуль входного сопротивления:
.
Величина сопротивления на резистивном элементе:
.
Величина активной составляющей катушки индуктивности:
.
Полное сопротивление катушки индуктивности:
.
Величина реактивной составляющей катушки индуктивности:
.
Величина входного сопротивления двухполюсника соответственно равна:
.
Определим параметры катушки индуктивности и резистивного элемента с использованием векторной диаграммы рассматриваемой цепи приведенной на рисунке 3._.

Рисунок 3.1* - Векторная диаграмма последовательное соединение
активного сопротивления и катушки индуктивности
Алгоритм построения векторной диаграммы следующий: вначале по действительной оси откладываем величину напряжения источника питания
. Так как падение напряжения на резистивном элементе
совпадает по фазе с током, то величина
направлена также по действительной оси. Далее, с конца и начала
, с помощью циркуля, проводим окружности радиусов
и
соответственно. С точки пересечения двух окружностей, опускаем перпендикуляр на действительную ось. Величина перпендикуляра равна реактивной составляющей тока катушки
. Проекция
на действительную ось равна активной составляющей тока катушки
.
Параметры катушки индуктивности и резистивного элемента определяем с использованием векторной диаграммы.
Величина сопротивления на резистивном элементе:
.
Угол
– угол между величиной тока и напряжением на катушке индуктивности определяем с использованием теоремы косинусов:
.
Активная и реактивная составляющие тока на катушке
и
соответственно равны:
,
.
Параметры катушки соответственно равны:
,
.
Используя векторную диаграмму, определяем сдвиг по фазе
между током цепи
и приложенным к цепи напряжением
, применив теорему косинусов:
.
Определяем активную мощность цепи:
.
Полученный результат сравнивают с показанием ваттметра рассматриваемой схемы при последовательном соединении катушки индуктивности и резистивного элемента (рис. 3._).
Задача 3.13. Определить напряжение источника питания (показания вольтметров V) и параметры электрической цепи, приведенной на рисунке 3.11, а*, если показания остальных приборов следующие: амперметр А2 – 0,3 А, амперметр А – 0,7 А, амперметр А1 – 0,5 А, вольтметр V1 – 29,5 B, вольтметр V2 – 20 B, ваттметр Р – 10,9 Вт при емкостном характере.

Рисунок 3.11* - Смешанное соединение
а) – электрическая схема, б) – векторная диаграмма
При решении используем векторную диаграмму цепи, приведенную на рисунке 3.11, б.
1. Параметры рассматриваемой электрической цепи соответственно равны
Ом,
Ом,
Ом.
2. Активная составляющая сопротивления катушки 
Ом.
3. Реактивная составляющая сопротивления катушки 
Ом,
.
4. Активная составляющая напряжения на катушке
равна
В.
5. Реактивная составляющая напряжения на катушке
равна
В.
6. Определяем параметры эквивалентной схемы
и
, приведенной на рисунке 3.12.

Рисунок 3.12 – Эквивалентная электрическая схема
1.1. Проводимости каждой ветви соответственно равны:
См,
См,
См,
1.2. Сопротивления преобразованной схемы соответственно равны
Ом,
Ом.
2. Напряжение источника питания
(показания вольтметра V).
B.
3. Коэффициент мощности цепи 
.
Задача 3.14. Определить параметры электрической цепи, приведенной на рисунке 3.13, а*, если показания приборов следующие: амперметр А – 0,6 А, амперметр А1 – 0,3 А,, амперметр А2 – 0,4 А, вольтметр V – 26 B, вольтметр V1 – 25 B, вольтметр V2 – 12,3 B, ваттметр Р – 6,9 Вт при емкостном характере.

Рисунок 3.13* - Смешанное соединение
а) – электрическая схема, б) – векторная диаграмма
При решении используем векторную диаграмму цепи, приведенную на рисунке 3.13, б.
1. Параметры рассматриваемой электрической цепи соответственно равны
Ом,
Ом.
2. Активная составляющая сопротивления катушки 
Ом.
3. Реактивная составляющая сопротивления катушки 
Ом,
.
4. Активная составляющая напряжения на катушке
равна
В.
5. Реактивная составляющая напряжения на катушке
равна
В.
6. Определяем параметры эквивалентной схемы
и
, приведенной на рисунке 3.14.

Рисунок 3.14 – Эквивалентная электрическая схема
6.1. Проводимости каждой ветви соответственно равны:
См,
См,
См,
6.2. Сопротивления преобразованной схемы соответственно равны
Ом,
Ом.
7. Определяем параметры схемы
и
, приведенной на рисунке 3.14.
7.1. Из закона Ома для участка цепи
Ом.
7.2. Из закона Ома для полной цепи
Ом.
7.3. Решая систему уравнений относительно
и
, определяем их параметры:
Ом,
Ом.
.
8. Напряжения
на сопротивление
равно
В.
9. Напряжения
на емкости
равно
В.