Тогда, принимая во внимание, что п = 1-т, можем получить несколько иное выражение для коэффициента пористости:

Необходимо отметить еще некоторые важные соотношения, которые вытекают из определения коэффициента пористости. Для этого запишем следующие уравнения:

Решая эту систему уравнений относительно и и от, получим:
|
| 2) объем твердых частиц в единице объема горизонта: |
|
1) объем пор грунта или почвенного горизонта в единице его объема:
Нужно отметить, что коэффициент пористости и его производные играют очень важную роль в механике грунтов и инженерно-экологическом почвоведении при расчете деформаций грунтов.
Для чернозема ρ = 1 г/см3, d = 2,65 г/см3. Тогда пористость равна 0,62. Коэффициент пористости e = n/(1-n) = 1,65.
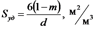
Удельная поверхность (Sуд)– это поверхность всех частиц слагающих почву в единице веса или объема. Она равна:
.
Где m – пористость (доля), d – диаметр частиц твердой фазы почв (м).
Для писаных почва Sуд = 22000 м2/м3. В глинистых почвах частицы ещё меньше, а поверхность существенно возрастает до сотен тысяч кв. метров.
Чаще всего в почвах удельную поверхность выражают на единицу веса – м2/г. Показатель изменяется в широких пределах от 50 до 200 и более м2/г.
Пористость зависит от гранулометрического состава, структурности, деятельности почвенной фауны, содержания органического вещества, в пахотных горизонтах — от частоты и приемов обработки и окультуренности почвы.