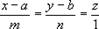
Параметрические уравнения прямой получим, приравняв каждое из отношений (3.4) параметру t:
x = x1 +mt, y = y1 + nt, z = z1 + рt. (3.5)
Решая систему (3.2) как систему линейных уравнений относительно неизвестных x и y, приходим к уравнениям прямой в проекциях или к приведенным уравнениям прямой:
x = mz + a, y = nz + b. (3.6)
От уравнений (3.6) можно перейти к каноническим уравнениям, находя z из каждого уравнения и приравнивая полученные значения:

От общих уравнений (3.2) можно переходить к каноническим и другим способом, если найти какую-либо точку этой прямой и ее направляющий вектор n =
[n1, n2], где n1(A1, B1, C1) и n2(A2, B2, C2) - нормальные векторы заданных плоскостей. Если один из знаменателей m, n или р в уравнениях (3.4)
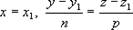
окажется равным нулю, то числитель соответствующей дроби надо положить равным нулю, т.е. система
равносильна системе
; такая прямая перпендикулярна к оси Ох.
Система
равносильна системе x = x1, y = y1; прямая параллельна оси Oz.






