,
– компоненты вектора f зависимы от фазовых координат. n=2

Все первые производные равны 0.
;
;
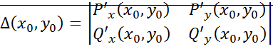
– не одна особая точка. Введем обозначения:

. Состояние равновесия в котором
наз. простым.
Разложение по степеням нелинейной функции исходного уравнения.
:


– разложение со второго порядка и выше.
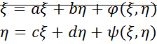
Сделаем замену переменных:
=> 



Линеаризация уравнения вблизи
: линеаризованная система вблизи точек равновесия.


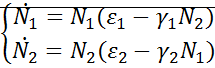
Для системы «хищник-жертва»



Рассмотрим координаты особых точек:
1.
; 
I. (0,0) II. (
)
Линеаризация вблизи особых точек:






;
; (седло)
Поведение системы при больших N
; 


->
. Далеко от начала координат имеет прямую.

; 

Точка (0,0) – седло.
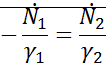
Сепаратрисы – кривые, проходящие через общую точку
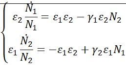
Домножаем уравнения на
и
, сложим.

Домножая исходное уравнение на
и
и суммируем:


Из (1) вычтем (2):

Умножим на dt и проинтегрируем:

Это выражение будет первым интегралом исходной системы.






