– первый интеграл в системе диф.уравнений, если эта функция постоянна вдоль каждого решения.
Для n=2: 
Фазовые траектории для такой системы – замкнутые кривые, если С1 не соответствует критической точке на поверхности Ф. Критической точке на поверхности Ф соответствуют особые точки диф.уравнения.
В системе с первым интегралом имеются особые точки, только центр и седла.
6. Возможный характер простых состояний равновесия.
,
– компоненты вектора f зависимы от фазовых координат.

I.
;
; 
Корни действительные разные
– устойчивый узел
– неустойчивый узел
II.
;
– седло.
III.
;
; 
U<0 – устойчивый фокус
U>0 – неустойчивый фокус
7. Направления, вдоль которых фазовые траектории стремятся к простым состояниям равновесия. Угловой коэффициент направлений.
;
; 

ОМ – луч;
M(t) – пересечение луча с траекторией L
OM(t);
;
; OM* - касательная к L.
Если L стремится к положению равновесия, то существует

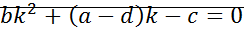
Угловой коэффициент. Характеристические числа для линеаризованной системы.
|
|
|
t wx:val="Cambria Math"/><w:i/><w:sz w:val="36"/><w:sz-cs w:val="36"/></w:rPr><m:t>=0</m:t></m:r></m:oMath></m:oMathPara></w:p><w:sectPr wsp:rsidR="00000000"><w:pgSz w:w="12240" w:h="15840"/><w:pgMar w:top="1134" w:right="850" w:bottom="1134" w:left="1701" w:header="720" w:footer="720" w:gutter="0"/><w:cols w:space="720"/></w:sectPr></w:body></w:wordDocument>"> 

имеет предел тогда и только тогда, когда имеет предел
.
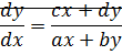
Из линеаризованной системы получим

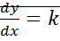
Заменим y=kx (уравнение луча)
; 




8. Предельные циклы не консервативной системы. Их типы.


При линеаризации получим: t wx:val="Cambria Math"/><w:i/></w:rPr><m:t>1</m:t></m:r></m:e></m:mr></m:m></m:e></m:d></m:oMath></m:oMathPara></w:p><w:sectPr wsp:rsidR="00000000"><w:pgSz w:w="12240" w:h="15840"/><w:pgMar w:top="1134" w:right="850" w:bottom="1134" w:left="1701" w:header="720" w:footer="720" w:gutter="0"/><w:cols w:space="720"/></w:sectPr></w:body></w:wordDocument>">
;
. Система не консервативная.
;
;



R=1 – окружность с радиусом R;
R<1 - 
R>1 - 
Замкнутая периодическая фазовая траектория в нелинейной системе называется предельным циклом.






