Механические колебания.
Механические колебания - это движение, которое периодически повторяется.
Характеристики колебаний.
Период – время одного полного колебания.
(где N – количество колебаний, t – время наблюдения). T = [с]
Частота (собственная) – количество полных колебаний за единицу времени.

Смещение – отклонение тела от положения равновесия; x = [м]
Амплитуда – максимальное отклонение тела от положения равновесия, xm = [м]
Виды колебаний.
| Свободные
| Вынужденные
|
| колебания, совершаемые в системе, выведенной из состояния равновесия и затем предоставленной самой себе. (Колебания, происходящие за счёт внутренних сил системы)
| колебания, происходящие под действием внешней периодически изменяющейся силы
|
| затухающие (причина – сила трения)
| не затухающие (причина – периодически действующая внешняя сила)
|
| х
|
|
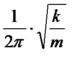
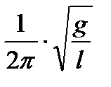
Механические колебательные системы – маятники.
Графики гармонических колебаний.
Энергия колебаний.

h
