Рассмотрим поведение векторов E и D на границе раздела однородных изотропных диэлектриков.
Рис. 5.5
| Для установления связи между тангенциальными составляющими вектора E по обе стороны границы воспользуемся теоремой о циркуляции вектора E. Выберем контур небольшой длины l, как показано на рис. 5.5 и в предположении, что векторы E1 и E2 с обеих сторон границы постоянны в пределах контура, запишем на основании этой теоремы |
| E 2τ + E 1τ' + C' = 0 | (5.27) |
где проекции вектора E взяты в непосредственной близости от границы раздела на направление обхода контура, указанное на рисунке стрелками, а C' - вклад в циркуляцию от перпендикулярных к границе сторон контура. В пределе при стремящейся к нулю высоте контура этим вкладом можно пренебречь и тогда
| E 2τ + E 1τ' = 0 | (5.28) |
Если внутри диэлектрика 1 проекцию вектора E взять не на орт τ', а на общий орт τ, то так как E 1τ' = -E 1τ, то получим
| E 2τ - E 1τ = 0 | (5.29) |
или
| E 2τ = E 1τ | (5.30) |
Иными словами, тангенциальная составляющая вектора E одинакова по обе стороны границы раздела.
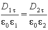
Заменив согласно (5.26) проекции вектора E проекциями вектора D, деленными на εoε, получим
| (5.31) |
откуда
| (5.32) |
Обратимся теперь к нормальной составляющей вектора D. Воспользуемся для этого теоремой Гаусса для этого вектора. Выбирая поверхность интегрирования как показано на рис. 5.4 и следуя тем же рассуждениям, которые привели к выражению (5.18), получим
| D2n - D1n=σ | (5.33) |
Из этого соотношения следует, что при наличии на границе раздела стороннего заряда с поверхностной плотностью σ нормальная составляющая вектора D терпит разрыв. При отсутствии стороннего заряда на границе
| D1n = D2n | (5.34) |
Нормальные составляющие вектора E с разных сторон границы раздела относятся тогда на основании (5.26), как
| (5.35) |
Рис. 5.6
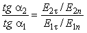
| Как следует из полученных соотношений (5.30) и (5.35) нормальная и тангенциальная составляющие вектора E на границе раздела ведут себя по разному. В результате линии вектора E испытывают преломление (рис. 5.6). Найдем соотношение между углами α1 и α2 для случая, когда сторонних зарядов на границе раздела нет. Как видно из рисунка
|
Отсюда на основании (5.30) и (5.35) получаем
| (5.37) |
Если на среда 1 - проводник, а 2 - диэлектрик, то из соотношения (5.33) следует, что
D n =σ,
где n - внешняя к проводнику нормаль. Действительно, т.к. в проводнике E =0, то и P =0. Тогда, так как D = ε0E+P, то и D1n =0.
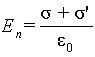
Если к заряженному проводнику прилегает однородный диэлектрик, то на границах диэлектрика выступают связанные поверхностные заряды. Найдем их поверхностную плотность σ'. Следуя рассуждениям, которые привели к выводу соотношения (4.1), в данном случае получим для нормальной составляющей вектора E
| (5.38) |
Но
| (5.39) |
С учетом (5.39) из (5.38) получим
| (5.40) |
Рис. 5.5
Рис. 5.6






