Если однородный и изотропный диэлектрик полностью заполняет объем, ограниченный эквипотенциальными поверхностями поля сторонних зарядов, то напряженность поля внутри диэлектрика в ε раз меньше, чем напряженность поля сторонних зарядов.
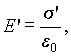
Продемонстрируем справедливость приведенного утверждения на примере плоского конденсатора. Предположим, что пространство между обкладками плоского конденсатора заполнено однородным и изотропным диэлектриком. Тогда на поверхности диэлектрика, прилегающей к пластине с положительным зарядом, появится индуцированный связанный отрицательный заряд, а на противоположной поверхности диэлектрика – индуцированный связанный положительный заряд. Этот связанный заряд σ' является источником электрического поля с напряженностью
| (5.41) |
причем, согласно (5.19), σ' = P n, где P n – нормальная составляющая вектора поляризованности.
В результате, в силу принципа суперпозиции поле внутри диэлектрика окажется векторной суммой полей, создаваемых сторонним зарядом, находящимся на обкладках конденсатора, и поверхностным связанным зарядом:
E=E 0+ E ',
причем векторы E 0 и E ' коллинеарны и направлены навстречу друг другу. Поэтому модуль вектора напряженности будет равен
| (5.42) |
Так как диэлектрик предполагается однородным и изотропным, то поляризованность диэлектрика пропорциональна напряженности поля:
P =κ ε 0 E.
Поскольку диэлектрик полностью заполняет объем, ограниченный эквипотенциальными поверхностями поля сторонних зарядов, то вектор E на границе между проводящей обкладкой конденсатора и прилегающим к ней диэлектриком перпендикулярен границе, т.е.
E=E n .
Тогда, с учетом того, что σ' = P n получается

| (5.43) |
откуда для напряженности поля внутри конденсатора имеем 
| (5.44) |
где ε - диэлектрическая проницаемость диэлектрика.







