Діяльність працівників служби управління персоналу регламентується посадовими інструкціями, розробленими відповідно до кваліфікаційного довідника посад службовців і затвердженого керівником підприємства або структурного підрозділу. Отже, служби управління персоналом повинні бути укомплектовані спеціалістами, здатними успішно вирішувати широкий спектр питань діяльності підприємства і разом з іншими службами активно впливати на ефективність роботи підприємства. Закордонний досвід показує, що керівник служби управління персоналом наділений широкими повноваженнями, є членом правління підприємства й активно впливає на його політику. Ефективність роботи кадрових служб обмеження зростання кількісного складу пояснюються двома факторами: а) переведенням роботи з кадрами на сучасну інформаційно-технічну базу; б) розвитком управлінської інфраструктури, яка допомагає у виконанні найбільш складної кадрової роботи.
16. Висвітліть мету, завдання, принципи кадрового планування Кадрове планування - це система комплексних рішень і заходів з реалізації цілей організації і кожного працівника яка дозволяє:1) забезпечити організацію персоналом відповідно до кількості і вимог робочих місць; 2) підібрати таких людей які могли б вирішувати поставлені завдання як у потосному так і у майбутньому періоді; 3)забезпечити активну участь працівників в управлінні організацією.Кадрове планування є складовою частиною планування в організації.. Завдання кадрового планування: 1) забезпечити людей робочими місцями в потрібний момент часу 2) давати можливості працівникам розвивати свої здібності, відвищувати ефективність праці, забезпечувати зайнятість. 3) забезпечити реалізацію планів підприємства щодо людського фактору,його кількості, кваліфікації,продуктивності праці, витрат на найм працівників. Процес кадрового планування грунтується на відповідних принципах: науковість,економічність,безперервність,гнучкість,узгодження,масовість,точність,колегіальність, повнота,вузького місця.
17. Що таке поточна та довгострокова потреба у персоналі. В рамках планів визначають поточну та довгострокову потребу в кадрах. Поточна потреба -це потреба в кадрах на даний час, що повязана з рухом персоналу:звільненням за своїм бажанням, відпустками і т.д. Довгострокова потреба – потреба у персоналі на майбутній період. визначається за даними прогнозу, який грунтується на аналізі вікової структури, коєфіцієнтів плинності кадрів, розвитку підприємства, зміни виробничої програми і т.д..
18. Розкрийте етапи і процедури прогнозування розвитку персоналу.Прогнозування є основою підготовки планових рішень і завдань.прогнозування використовується для передбачення змін структури і динаміки роботи з персоналом в майбутньому на основі аналізу минулого і теперішнього, і виходить із мети розвитку підприємства яку необхідно досягти на перпективному етапі. Включає такі етапи: 1) ретроспектація -це вивчення складу персоналу і структури персоналу в минулому 2) діагноз- вивчення характеру і стану роботи з персоналом на основі всестороннього його дослідження 3) вибір методу – найбільш відповідальний етап у прогнозування.сюди відносять такі методи:формалізовані (математична статистика) та неформалізовані (експертні оцінки на основі останніх досягнень) 4) прогноз – це передбачення основних структурних змін в професійно-кваліфікаційному та соціально-демографічному складі персоналу + проведення кадрової політики на підприємстві.
19. Розкрийте механізми планування чисельності і складу персоналу.
Планування чисельності працівників залежить від специфіки діяльності підприємств і факторів впливу зовнішнього середовища (кон'юнктура ринку, сезонність попиту, державні програми, юридичні аспекти регулювання трудових відносин тощо).
Загальними етапами планування кадрів підприємства будь-якої сфери діяльності є такі:
1) визначення очікуваної чисельності працівників на початок планового періоду;
2) розрахунок потреби в працівниках для виконання планового обсягу робіт;
3) обґрунтування (прогнозування) вибуття працівників у плановому періоді;
4) розрахунок поповнення працівників, необхідного для забезпечення планових обсягів діяльності. Якісний склад персоналу визначається потребою в категоріях, професіях, спеціальностях різного рівня кваліфікації. З урахуванням якісних характеристик чисельність персоналу планується на основі таких передумов:- штатного розпису підприємства, де наводиться перелік посад;- вимог до посад і робочих місць, закріплених посадовими інструкціями або характеристиками робочих місць;- документації, яка регламентує процеси діяльності з виділенням вимог до професійно-кваліфікаційного складу виконавців.
Метою аналізу чисельності і структури кадрів є виявлення внутрішніх резервів економії робочої сили у зв'язку з більш раціональною розстановкою працівників, їх завантаженням і використанням відповідно до отриманої професії, спеціальності і кваліфікації.О сновними завданнями проведення аналізу чисельності і складу працівників є:
- дослідження чисельності і складу за статтю, віком, спеціальністю, кваліфікацією;
- встановлення ступеня забезпеченості підприємств кадрами;
- перевірка даних про використання робочого часу;
- вивчення форм, динаміки і причин руху працівників;
- розробка заходів, що спрямовані на поліпшення забезпеченості підприємства кадрами, вдосконалення їх структури і використання.
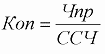
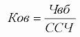
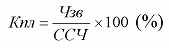
При плануванні чисельності працівників дуже важливий аналіз руху і плинності кадрів. Рівень інтенсивності руху працівників характеризують коефіцієнти обороту щодо прийому і вибуття, плинності кадрів.
К-т обороту щодо прийому:

де Чпр – чисельність прийнятих на роботу; ССЧ – середньоспискова чисельність, осіб.
К-т обороту щодо вибуття: 
де Чвб – чисельність вибулих за період, що визначаються.
К-т плинності кадрів визначається:

де Чзв – чисельність працівників, звільнених за прогули та інші порушення трудової дисципліни, осіб.
20. Визначте фактори і методи планування і прогнозування роботи з персоналом.
Попередньою стадією планування кадрової роботи є прогнозування, що служить основою підготовки планових рішень і завдань. Прогнозування застосовується для передбачення зміни структури й динаміки кадрової роботи на основі аналізу минулого і сьогодення.
Метою планування людських ресурсів є визначення того, коли, де, скільки, якої кваліфікації і з якими затратами потрібні будуть організації працівники для вирішення її завдань.
У процесі планування (визначення потреб у персоналі) необхідно враховувати наступні фактори:
1. Внутрішньоорганізаційні:
- цілі організації (окреслення задачі, бізнес-план);
- рух персоналу (звільнення, вихід на пенсію, декретні відпустки, тимчасова непрацездатність);
- фінансовий стан, традиції і т.д.
2. Зовнішні:
- стан економіки (темпи економічного росту галузі, рівень інфляції і безробіття);
- розвиток техніки і технології, державна політика (зміна трудового законодавства, податкового режиму, систем соціального страхування);
- конкуренція і ринкова динаміка.
До основних методів планування і прогнозування кадрової роботи належать:
- балансовий метод планування,
- метод порівняльного аналізу,
- метод експертних оцінок;
- системний аналіз;
- моделювання;
- економіко-математичні методи та ін.
На основі цих методів аналізується динаміка соціальних і кадрових процесів у трудових колективах будівництв і підприємств, виявляються закономірності в їхньому розвитку, визначаються конкретні шляхи оптимізації цих процесів з урахуванням специфіки діяльності конкретної організації, підприємства.
Балансовий метод планування полягає у встановленні динамічної рівноваги між трудовими ресурсами, з одного боку, та їх розподілом відповідно до потреб виробництва - з іншого.
М ето ди системно го аналізу використовуються в основному при розробці програм розвитку кадрової роботи на тривалу перспективу і передбачають вивчення і опис принципів роботи системи управління кадрами на виробництві; аналіз особливостей найважливіших компонентів системи, їх взаємозв'язків і взаємозалежностей; встановлення подібності та відмінності системи, що вивчається та інших систем управління кадрами; перенесення за певними ознаками властивостей наявної моделі управління кадрами на властивості системи, що вивчається.
Експертні оцінки являють собою особливий вид кількісних і якісних характеристик окремих сторін соціальних і кадрових процесів і визначаються на основі суджень, висловлених експертами (науковцями та фахівцями-практиками).
21. Назвіть види планів з питань персоналу. Розкрийте їх зміст та структуру.
Процес планування має своє логічне завершення в плані. План — це офіційний документ, в якому сконцентрована система взаємопов'язаних показників прогнозу розвитку організації для досягнення поставленої мети. Залежно від тривалості планового періоду, цілей та умов планування розрізняють три види планування:
- стратегічне (перспективне);
- тактичне (середньострокове);
- поточне (оперативне).
На стратегічному рівні визначають довгострокові, розраховані на 10— 15 років цілі підприємства, напрямки його розвитку, враховуючи загальну ситуацію на ринку праці, тенденції розвитку внутрішньої і зовнішньої торгівлі, концепції і напрямки розвитку народного господарства в цілому. Встановлюються трудові, фінансові, матеріальні ресурси, необхідні для досягнення цілей організації. Обирається метод (стратегія) досягнення цих цілей. Оформлюють результати стратегічного планування у вигляді концепцій і програм розвитку, протоколів намірів.
На тактичному рівні загальні цілі конкретизуються на коротший період — 2—5 років, і відповідно до поставлених завдань залучаються необхідні ресурси. Строку 2—5 років зумовлений тим, що він співвідноситься із тривалістю проектування й освоєння нової техніки, технології, реконструкції і технічного переозброєння, розв'язку масштабних задач по соціальному розвитку підприємства.
На оперативному рівні розв'язуються поточні завдання, які висуваються кон'юнктурою ринку, і, відповідно, плани розробляються в межах року. В річних планах завдання тактичного планування конкретизуються, уточнюються на основі вивчення руху персоналу, потреб виробництва. Планові розрахунки проводяться, як правило, у квартальному розрізі.
Безумовна вимога полягає втому, що планування навіть нагальних завдань не повинно суперечити стратегічним і тактичним цілям підприємства.
В рамках термінових планів з персоналу виділяють такі їх види:
1. План з питань комплектування та використання персоналу, в який включається план руху персоналу, в межах якого вирішуються такі практичні завдання:
- орієнтація залучених працівників на заняття тих чи інших посад чи робочих місць;
- оволодіння знаннями тих спеціальностей і професій, до яких вони мають здібності;
- укомплектування вакансій кадрами потрібної кваліфікації, з врахуванням їх специфіки;
- створення системи професійного переміщення, яка враховує вік, стан здоров'я та інтелектуальні можливості особистості.
2. План підготовки кадрів у зв'язку зі звільненням і переміщенням персоналу включає такі розділи:
- визначення кількості звільнених і рівень їх кваліфікації;
- встановлення часу, в рамках якого буде проходити звільнення;
виявлення кандидатурна переміщення в рамках підрозділів або підприємства
регламентація способів матеріального стимулювання добровільного чи дострокового звільнення;
- визначення відповідальних за виконання запланованих заходів.
3 .Планування ділової кар'єри, службово-професійного переміщення — це складання планів горизонтального і вертикального переміщення працівників за системою посад або робочих місць, починаючи з початку прийняття працівника і до його звільнення з роботи. Працівник повинен знати не тільки свої перспективи на короткотерміновий періоді на перспективу, але і яких показників він повинен досягнути, щоб розраховувати на просування по службі.
4. Планування продуктивності та заробітної плати.
5. План заходів з удосконалення структури зайнятості може включати такі програми:
— впровадження сучасних принципів і методів організації та управління;
— зміни організаційної структури;
освоєння нових технологій.
6. Планування витрат на персонал, куди включається:
- основна та додаткова заробітна плата;
- відрахування на соціальне страхування;
- витрати на відрядження та службові роз'їзди;
- витрати на професійний розвиток;
- придбання спецодягу тощо.






