(8)
2.4.5 Провести комплексну оцінку енергомісткості
процесу подрібнення
При оцінці і порівнянні подрібнювачів кормів важливе значення мають енергетичні показники. Найбільш інформативним і об'єктивним є показник питомої енергомісткості (відношення споживаної потужності до продуктивності). Але такий, показник не враховує якісну оцінку продуктів подрібнення. Тому для комплексної оцінки енергомісткості процесу і засобів подрібнення її визначають з урахуванням досягнутого ступеня подрібнення та рівномірності фракційного складу кінцевого продукту.
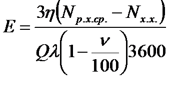
Визначити питому енергомісткість з урахуванням досягнутого ступеня подрібнення та рівномірності фракційного складу кінцевого продукту за формулою
(9)
де
- к.к.д., що враховує втрати потужності при и передачі виконуючому механізму,
= 0,7- 0,8.
Розрахунок провести для двох дослідів. Результати обчислювань занести до таблиці 2.
Таблиця 2 - Результати розрахунків показників
| Вид зерна | Діаметр отворів решета дробарки, мм | Модуль помелу М, мм | Коефіцієнт варіації n,проц. | Продуктивність дробарки Q, кг/с | Ступень подрібнення, l | Питома енергоміс-ткість Е, Втгод./кг |
Після виконання роботи, студент складає звіт, який вміщує дані:
1 Номер, найменування та мета роботи
2 Основні фізико-механічні властивості зернових
кормів
3 Заповнений журнал спостережень (таблиця 1)
4 Розрахунки визначення показників оцінки подрібнювача
5 Результати розрахунків у вигляді таблиці 2.
6 При написанні висновків по роботі порівняти всі обчислювані якісні та енергетичні показники для двох решіт подрібнювача 2 і 4 мм. Навести який вид помелу отримали, а також відповідність величини коефіцієнта варіації вимогам якісного подрібнення.
2.6 Контрольні питання
2.6.1 Що таке еквівалентний діаметр і як його визначити?
2.6.2 Якими показниками оцінюється якість подрібнення кормів?
2.6.3 Що таке модуль помелу і як його визначити?
2.6.4 Як визначити ступінь подрібнення і що вона характеризує?
2.6.5 На що впливає якість подрібнення?
2.6.6 Як визначити продуктивність дробарки?
2.6.7 Що характеризує коефіцієнт варіації фракційного складу продуктів подрібнення і яке його практичне значення?
2.6.8 Як оцінюється енергетична складова оцінки подрібнювача кормів?
2.6.9 Що визначають за допомогою ситового аналізу?
2.6.10 Зробіть порівняльну оцінку двох дослідів за отриманими показниками.






