1. Занести у журнал спостережень вихідні дані експерименту (час відбору проб, значення контрольних точок експерименту згідно з варіантом) (Додаток Б, таблиця Б.1).
2. Завантажити бункер дозатора 1 (рис. 1) кормом або кормовою сумішшю.
3. Ввімкнути дозатор і встановити показник на шкалі дозатора
супротив вказаної у варіанті точці.

1 - дозатор ДТК, 2 - реле часу, 3 - течка з перекидним клапаном; 4 - пульт керування; 5 - мірна ємність; 6 - стіл
Рисунок 1 - Принципова схема експериментальної установки
4. Після встановлення стабільного режиму роботи натиснути на
кнопку «відбір проби». Час відбору проби витримує реле часу 2 або вручну. Зробити три повтори відбору проб на кожній вказаній поділки шкали.
5. Вимкнути дозатор.
6. Зважити наважки і записати показання у журнал спостережень.
7. Зважити тару і результат записати у журнал спостережень.
8. Пункти 3, 4, 5, 6 повторити для кожної фіксованої у варіанті точки.
9. Для точки максимальної витрати корму дозатором повторність експерименту дорівнює подвоєної повторності для інших точок.
10. Провести повторне знімання показань витрат для фіксованих у варіанті точок при зменшені витрат, додержуючись при цьому вимог пунктів 3, 4, 5, 6, Показання заносять у журнал спостережень.
11. Прибрати робоче місце і здати прилади та інструмент лаборанту.
12. Зробити статистичну обробку результатів вимірювань.
13. Побудувати у вибраному масштабі тарировочну криву.
2.3.3 Методика статистичної обробки результатів вимірювань. Результати експериментальних замірів величин при одному й тому ж режимі роботи, як правило, відрізняються один від одного, тобто мають випадкове розсівання, яке відображає коливання витрат. Як показали дослідження, ці відхилення підпорядковані закону розподілення випадкових величин, які характеризуються щільністю розташування ймовірностей. При цьому середнє арифметичне значення витрат корму є центром настройки дозатору.
Дуже важливо, щоб експериментально отримані дані відображали суть процесу, тобто були достовірними. Згідно з вимогами до сільськогосподарського виробництва і сільськогосподарських процесів достатньо, щоб достовірність результату була не нижче 95%.
Перевірка достовірності отриманих результатів проводиться по критерію Ст’юдента t
для проведеного числа замірів (повторюваності) експерименту
(5)
де Gі - істинне значення визначальної величини (результат вимірювання);
- середнє арифметичне значення визначальної величини;
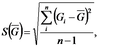
- стандартне відхилення середнього результату.
(6)
де п- кількість замірів на кожному числовому значенні шкали.
(7)
Після визначення критерію Ст'юдента необхідно порівняти його величину з табличними значеннями при довірительній ймовірності
= 95% і числі ступенів свободи f = п – 1 (Додаток Б, таблиця Б.3).
Якщо t
> t
, то таке вимірювання необхідно вважати помилкою, його треба виключити, а статистичну обробку повторити за наведеною методикою.
Усі отримані значення, для яких t
< t
, вважають достовірними і можуть служити даними, що характеризують процес дозування. По цим даним будують тарировочну криву.
2.3.4 Методика побудови тарировочної кривої. Побудову тарировочної кривої починають з будови системи координат. На осі Х-ів відкладають у масштабі показники шкали Z на ручці установки норми видачі, на осі У-ів відкладають у масштабі продуктивність (витрату) дозатора Qдоз. на фіксованій точці шкали. Дані по витраті виданого корму беруть із таблиці Додатку В після статистичної обробки. Після побудови тарировочної кривої вказується приклад використання її при переналагодженні дозатора. На графіку (рис. 1) показано находження місця установки ручки регулятора Zi при продуктивності 100 г/с.
Qдоз, г/с
| ||||||||
|
|
Z, діл.
Рисунок 1 - Тарировочна крива дозатору ДТК при видачі ячменю






