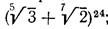
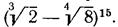
3.1. Обчислити: 
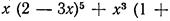
3.2. Знайти коефіцієнт при х 5 у многочлені

3.3. Знайдіть раціональні доданки в розкладі біному:

3.4. Знайдіть раціональні доданки в розкладі біному:

3.5. Знайдіть раціональні доданки в розкладі біному:
.
3.6. У біноміальному розкладі
знайдіть доданок, який не містить а.
3.7. Сума коефіцієнтів першого, другого й третього членів біноміального розкладу (а + b) n дорівнює 46. Знайдіть n.
3.8. Коефіцієнти другого, третього й четвертого членів біноміального розкладу
утворюють арифметичну прогресію. Визначити n.
3.9. Коефіцієнти четвертого й шостого членів біноміального розкладу
рівні між собою. Визначити п.
3.10. Довести, що сума коефіцієнтів у біноміальному розкладі(З х – 2 у) n при будь-якому п дорівнює 1.
3.11. У розкладі бінома
знайти член, що містить х 4, якщо коефіцієнт третього члена дорівнює 90.
3.12. Знайти показник степеня бінома
, якщо відношення сьомого члена його розкладу від початку до сьомого члена від кінця дорівнює 0,1(6).
3.13. У розкладі бінома
коефіцієнт четвертого члена відноситься до коефіцієнта шостого члена, як 5:18. Знайти в цьому розкладі доданок, що не залежить від z.
3.14. Знайти х, якщо п'ятий член розкладу бінома
дорівнює
.
3.15. У розкладі бінома
знайти доданок, що містить а 7.
3.16. Коефіцієнти п'ятого, шостого і сьомого членів розкладу бінома (1 + х)п утворюють арифметичну прогресію. Знайти п.
3.17. При якому значенні х третій доданок розкладу бінома
дорівнює 240?
3.18. Який доданок розкладу бінома
містить z 5 , якщо сума біноміальних коефіцієнтів цього розкладу дорівнює 128?
3.19. Знайти х, у і z, якщо відомо, що другий, третій і четвертий члени розкладу (х + у) z відповідно дорівнюють 240, 720 і 1080.
3.20. Знайти найбільший член розкладу бінома
.
3.21. Коефіцієнти четвертого і шостого членів розкладу бінома (1+ х) n +1рівні між собою. Знайти п.
3.22. Знайти показник бінома
, якщо в його розкладі сума всіх показників степенів числа b дорівнює 36.
3.23. Сума біномінальних коефіцієнтів розкладу (1+ х) n +(1+ x) n +1дорівнює 1536. Знайти коефіцієнт при х 6.






