5.1. Знайти аналітичну формулу для обчислення суми
.
5.2. Знайти послідовність (an)nÎN0 за рекурентним співвідношенням та початковими умовами an+3+3an+2‑4an+1‑12an = 0, a0 = 0, a1 = 10, a2 = 10
5.3. Знайти послідовність (an)nÎN0 за рекурентним співвідношенням та початковими умовами: an+3‑5an+2‑2an+1+24an = 0, a0 = 13, a1 = 13, a2 = 115
5.4. Знайти послідовність (an)nÎN0 за рекурентним співвідношенням та початковими умовами: an+3‑2an+2‑an+1+2an = 0, a0 = 15, a1 = 19, a2 = 45
5.5. Знайти послідовність (an)nÎN0 за рекурентним співвідношенням та початковими умовами:an+3‑7an+2‑16an+1‑12an = 0, a0 = 1, a1 = 2, a2 = 0
5.6. Знайти послідовність (an)nÎN0 за рекурентним співвідношенням та початковими умовами:an+3‑4an+2+5an+1‑2an = 0, a0 = 7, a1 = 13, a2 = 23
5.7. Знайти послідовність (an)nÎN0 за рекурентним співвідношенням та початковими умовами:an+3‑3an+2+3an+1‑an = 0, a0 = 1, a1 = ‑1, a2 = ‑5.
5.8. Знайти послідовність (an)nÎN0 за рекурентним співвідношенням та початковими умовами:an+2+ban+1+can = 0, a0 = 1, a1 = 1, a2 = ‑1, a3 = ‑11
5.9. Знайти послідовність (an)nÎN0 за рекурентним співвідношенням та початковими умовами:a3n+2‑2a3n+1+a3n = 0, a0 = 1, a1 = 3
5.10. Знайти послідовність (an)nÎN0 за рекурентним співвідношенням та початковими умовами:an+3‑2an+2+an+1‑2an = 0, a0 = 7, a1 = 2, a2 = ‑2
5.11. Знайти послідовність (an)nÎN0 за рекурентним співвідношенням та початковими умовами:an+3‑an+2+4an+1‑4an = 0, a0 = 5, a1 = 3, a2 = ‑5
5.12. Знайти послідовність (an)nÎN0 за рекурентним співвідношенням та початковими умовами:an+2‑4an+1‑5an = 8×3n, a0 = 1, a1 = 1
5.13. Знайти послідовність (an)nÎN0 за рекурентним співвідношенням та початковими умовами:an+2‑2an+1+an = 2n, a0 = 4, a1 = ‑9.
5.14. Знайти послідовність a = (an)nÎN0 за рекурентним співвідношенням та початковими умовами:a0an+a1an‑1+a2an‑2+…+ana0 = 2n×an, nÎN0, a0 = a1 = 1.
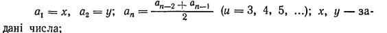
5.15. 

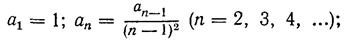
5.16. 

5.17. 

5.18. 

5.19. 

5.20. 

5.21. 

5.22. 

5.23. 







