| t | 0,0 | 0,1 | 0,2 | 0,3 | 0.4 | 0,5 | 0,6 |
| θ реал | 1,5708 | 1.3737 | 0,7971 | -0,0437 | -0,8688 | -1,4104 | -1,5689 |
| θ гарм | 1,5708 | 1,3533 | 0.7611 | -0,0418 | -0.8332 | -1,3938 | -1.5686 |
| φ(t) | 1,5710 | 1.3737 | 0.7938 | -0,0473 | -0,8696 | -1.4077 | -1.5631 |
| t | 0.7 | 0,8 | 0,9 | 1,0 | 1,1 | 1,2 | 1,3 |
| θ реал | -1,3331 | -0,7228 | 0,1308 | 0,9374 | 1,4434 | 1,5632 | 1,2889 |
| θ гарм | -1,3090 | -0,6870 | 0,1253 | 0,9028 | 1,4304 | 1,5619 | 1,2609 |
| φ(t) | -1,3299 | -0,7216 | 0,1297 | 0,9371 | 1,4448 | 1,5631 | 1,2869 |
Широчайшее распространение в математике и ее приложениях, связанных с периодическими функциями, имеет, так называемый, гармонический анализ. Для тех, кто не изучал соответствующий раздел математики, дадим представление о нем на данном примере. Поскольку тригонометрические функции, соответствующие гармоническому движению, хорошо изучены и привычны, то стремление передать периодическое (но не гармоническое) движение хотя бы суммой нескольких гармонических вполне понятно. Все эти «гармоники» должны иметь, естественно, тот же период, что и -изучаемая функция. Если ее период Т, то, кроме тригонометрических функций
,
период T имеют и функции с частотами, кратными
, т.е.
,
при любом целом k > 0. Гармоническое разложение функции f(t) с периодом Т в общем случае имеет вид

причем число гармоник-слагаемых формально бесконечно велико. Те, кто изучал ряды Фурье, знают общие правила вычисления коэффициентов a0, а1, b1, а2, b2,... Если ограничиться лишь небольшим число гармоник, скажем, тремя, то коэффициенты можно приближенно найти интерполяцией. Взяв за узлы точки t = 0; 0,4 и 1 (выбор достаточно произволен) и решив систему трех линейных алгебраических уравнений,получим

Значения функции φ(t) приведены в четвертой колонке табл. 7.5; они значительно ближе к бреал, чем бгарм. Обратим внимание на то, что первый коэффициент значительно больше остальных, что еще раз подчеркивает, что движение близко к гармоническому.

Рис. 7.19. Периодический сигнал, подобный вырабатываемому генератором
строчной развертки в телевизоре
Отвлечемся ненадолго от данной конкретной задачи и еще раз подчеркнем, что гармоническому разложению доступна любая периодическая функция. Например, периодический сигнал пилообразной формы (рис. 7.19), похожий на тот, который вырабатывает генератор строчной развертки в телевизоре, имеет следующее спектральное разложение;

Здесь уже нет столь быстрого спада коэффициентов при гармониках, так как исходная линия вовсе не похожа на синусоиду. Попробуйте протабулировать сумму вначале первых двух гармоник, затем трех, четырех и т.д. и пронаблюдать, как по мере роста числа слагаемых сумма все больше похожа на исходную функцию.
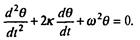
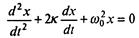
Колебания маятника при наличии трения. Поскольку сила трения при малых скоростях пропорциональна скорости, а скорость
, то уравнение свободных колебаний маятника с учетом трения выглядит так:

Преобразуем его к виду
(7.34)
где, как и выше,
, а
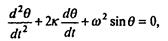
(коэффициент 2 записан по традиции для К / 2т удобства). При малых колебаниях уравнение (7.34) превращается в
(7.35)
Его решение таково: затухающие колебания при к < ω и затухание без колебаний при к ≥ ω. Все это можно проверить в ходе численного моделирования, хотя уравнение (7.35) допускает аналитическое решение. Приведем его: при к < ω

где
, А - амплитуда, φ - начальная фаза (А и φ легко выразить через начальные значения θ0 и v0). При k ≥ ω

где А и В также можно выразить через θ0 и v0.
Что же касается уравнения (7.34), то его аналитическое решение отсутствует, и при численном моделировании можно поставить ряд задач о том, насколько решения уравнений (7.34) и (7.35) различаются в зависимости от начальной амплитуды.
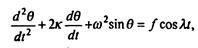
Вынужденные колебания. Если на маятник воздействует внешняя сила F(t), меняющаяся со временем, то уравнения движения получаются из (7.34) добавлением F(t) к правой части. Рассмотрим лишь случай периодического внешнего воздействия: F(t) = F0 cos λt, где λ - частота вынуждающей силы. Имеем уравнение движения маятника:
(7.36)
где
. При малой амплитуде результирующего движения уравнение (7.36) примет вид
(7.37)
Движение, описываемое уравнением (7.37), состоит из двух этапов. На первом оно складывается из двух колебательных движений: затухающих собственных колебаний с частотой
(при к < ω) и вынужденных колебаний с частотой λ. На втором этапе, по истечении времени t >> 1 /k, остаются лишь вынужденные периодические колебания, амплитуда которых зависит от соотношения частот λ и ω1 и резко возрастает при λ ≈ ω1 - явление резонанса, описанное в любом учебнике физики. Численное интегрирование уравнения (7.37) необязательно, так как решение можно записать в виде формул, содержащих лишь элементарные функции:
(7.38)
А и В — произвольные постоянные, находятся из начальных условий.
Исследования переходного процесса установления стационарных вынужденных колебаний, резонанса, биений, возникающих при k = 0 и λ ≈ ω1 (рис. 7.20-7.22), могут быть, конечно, проведены с использованием формул (7.38) простым табулированием с выводом результатов на экран компьютера в форме, удобной для восприятия; они же могут быть и объектами численного моделирования.

Рис. 7.20. Установление стационарных вынужденных колебаний маятника
при наличии трения при к = 0,5; ω = π /2, λ = π, f = 2 π.

Рис. 7.21. Биения в системе с близкими частотами собственных колебаний
и с вынуждающей силой при k = 0; ω = 889 π /9000, λ = π/ 9, f = π /70
Возвратимся к уравнению нелинейных вынужденных колебаний (7.36). Его аналитическое решение отсутствует, и возможно лишь численное. Сформулируем ряд задач: как нелинейность влияет (при больших амплитудах движения) на период вынужденных колебаний, на резонанс, на период биений при λ ≈ ω и т.д. Однако математики и физики давно убедились в том, что переход от линейного к нелинейному может изменить не только количественные характеристики процесса, но и дать новое качество. В данном случае - возникновение при некоторых условиях хаотического движения маятника. Сама возможность возникновения таких движений в простых динамических системах была обнаружена относительно недавно и поразила воображение многих математиков, физиков, химиков, биологов, в которых ситуации с хаотическими движениями, как оказалось,отнюдь не редкость. Пример такого процесса будет приведен впоследствии.

Рис. 7.22. Возрастание амплитуды колебаний при прохождении через резонанс при k = 0; ω = 889 π /9000, λ = π/ 9, f = π /70
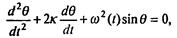
Параметрические колебания. Рассмотрим еще один вид колебаний маятника, когда на него внешние силы непосредственно не действуют, но внутри системы происходят некоторые события, приводящие к зависимости от времени параметров, входящих в уравнение движения. В этом случае колебательные движения называют параметрическими.
Простейший пример - раскачивание качелей усилиями того человека, который стоит на этих качелях Все знают, что, приседая, и отталкиваясь «в такт», можно сильно разогнать качели. Указанные приседания сводятся к периодическому изменению центра тяжести системы, или, что почти равносильно, длины нити подвеса Поскольку длина нити подвеса определяет частоту колебаний, то математическая модель явления – уравнение
(7.39)
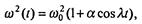
где ω(t) — заданная функция, определяющая закон изменения частоты. Мы ограничимся простейшим случаем гармонического изменения ω 2 (t):

где λ - частота изменения величины ω 2 (t).
При малых амплитудах колебаний и отсутствиитрения уравнение (7.39) превращается в

Решение любого из этих уравнений возможно лишь численно Одна из интереснейших особенностей уравнения (7.40) - так называемый, параметрический резонанс - допускает частичное аналитическое исследование, однако слишком сложное, чтобы его здесь приводить. Параметрический резонанс состоит в том, что при некоторых соотношениях частот λ и ω0, а именно
,
,
,
,... и при определенных значениях величины α в системе возникают нарастающие колебания. На рис. 7.23 схематически изображена фазовая диаграмма системы в переменных
и α, на ней заштрихованы зоны параметрического резонанса.

Рис. 7.23 Фазовая диаграмма с зонами параметрического резонанса
Понимать такую фазовую диаграмму надо следующим образом: если значения параметров у, а принадлежат заштрихованной области,то при них имеет место параметрический резонанс. Очень интересно то,что он наступает скачком при пересечении границы на фазовой плоскости.
Как можно численно установить границу зоны параметрического резонанса, например, первой? - Для этого надо задаться некоторыми значениями α (например, 0,1) и γ (например, 0,3), не принадлежащими зоне неустойчивости, и проинтегрировать численно уравнение (7.40). Удобно предварительно обезразмерить время переменной τ = ω0t, после чего уравнение примет вид
(7.41)
Здесь
. Затем, медленно увеличивая γ (например, с шагом 0,01) и не меняя α, интегрировать уравнение (7.41), пока не попадешь в зону неустойчивости, и далее, пока не выйдешь из нее. Затем следует увеличить α (например, взяв α = 0,2) и снова повторить процедуру прохождения по значениям γ и т.д. - постепенно вырисуется картина границы зоны параметрического резонанса на фазовой плоскости.
Нарастание колебаний при параметрическом резонансе, описываемом уравнением (7.40), является неограниченным. Физически такого быть не может. Ограничение амплитуды колебаний наступает либо за счет учета трения, либо при возврате к sin θ в уравнении (7.39), либо за счет обоих факторов. Следует учесть, что наличие трения не только ограничивает размах параметрических колебаний, но и «приподнимает» зоны параметрического резонанса над осью γ на фазовой плоскости α, γ, причем в разной мере. Моделирование этого и других явлений при параметрическом резонансе - интересная исследовательская работа.
Многогранность задачи об одномерных колебаниях. Колебания математического маятника одномерны в том смысле, что они описываются одной функцией θ(t) (хотя они и происходят в двумерном пространстве - плоскости, но жесткий стержень ликвидирует одну из степеней свободы, и в обычных декартовых координатах x(t), y(t) выражаются друг через друга).
Оказывается, что рассмотренные выше уравнения, особенно линейные (т.е. малых колебаний), обладают высокой универсальностью и описывают ряд процессов в механике твердых тел, газов, в электродинамике и т.д. Так, уравнение малых колебаний
(7.42)
описывает указанные ниже и другие системы (при этом в х, к, ω вкладывается совершенно разный физический смысл):
• математический маятник:
• пружинный маятник, где сила, действующая на тело. определяется законом Гука;
• «физический» маятник-тело, свободно вращающееся около горизонтальной оси;
• крутильный маятник наручных часов - симметричное тело, совершающее колебания около вертикальной оси под действием спиральной пружины;
• ток в колебательном контуре;
• акустический резонатор Гельмгольца, в котором происходят колебания воздуха в колбе с широким горлышком;
• колебания магнитной стрелки компаса.
Таким образом, наше внимание к колебательному движению не является преувеличенным.
Интересно, что при больших амплитудах универсальность колебательных движений нарушается. Так, sin θ в уравнении для математического маятника для других движении заменяется другой нелинейной функцией, и всякий раз задачу приходится решать заново и, чаще всего, численно.






