Закон Кулона, описывающий взаимодействие точечных зарядов, так похож на закон всемирного тяготения, что очевидна близость подходов к моделированию движения заряженной частицы в электростатическом поле и движения малого небесного тела в поле тяжести.
Напомним закон Кулона: между двумя зарядами Q и q разных (одинаковых)знаков действует сила притяжения (отталкивания)
(7.25)
где ε0 = 8,85∙10-12 Ф/м - так называемая электрическая постоянная, подробности - в любом курсе физики; Ф/м - «фарада на метр»
Выбор в (7.25) знака «минус» соответствует тому же выбору координат и направлений, что на рис. 7.14, иллюстрирующем закон тяготения.
Первая из задач, которую можно рассмотреть - движение «малого» заряда некоторого знака в поле, создаваемом «большим» неподвижным зарядом другого знака. Эта задача после обезразмеривания уравнений (оставим его читателю) в точности та же, что и рассмотренная выше задача движения «малого» небесного тела. В электростатике, однако, есть возможность рассмотрения широкого кругазадач,не имеющих аналога в гравитации. Перечислим простейшие из них:
1) движение «малого» заряда в поле «большого» при взаимном отталкивании;
2) движение заряженного тела в поле, созданном несколькими фиксированными зарядами произвольных знаков (рекомендуем начать со случая, когда все фиксированные заряды лежат в одной плоскости и начальное положение и скорость движущегося заряда - в той же плоскости);
3) движение заряженного тела между пластинами конденсатора (рекомендуем ограничиться плоским движением).
В последнем случае закон Кулона «в лоб» применить трудно - ведь заряженая пластина не может рассматриваться как «точечный заряд». При моделировании можно воспользоваться таким приемом: разбить пластину на несколько маленьких квадратиков, каждому из них приписать приходящийся на его долю заряд и заменить пластину эффективным набором «точечных» зарядов, взаимодействующих с пролетающей частицей. Этот прием - замена непрерывного дробным (дискретизация) обсуждается в следующих разделах.
Моделируя движение заряда, можно получать самые замысловатые траектории, помогающие, с одной стороны, лучше понять закон Кулона, а с другой - научиться визуализации динамических процессов на экране компьютера.
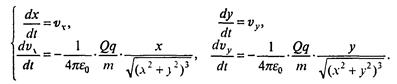
Для решения первой задачи рассмотрим сначала модель, характеризующую движение «малого» заряда в поле «большого», если заряды имеют разные знаки.
Получаем
(7.26)
Как обычно, удобно провести обезразмеривание полученной системы. В качестве параметров, с помощью которых проводим обезразмеривание, можно выбрать те, которые характерны для движения «малого» заряда по круговой орбите. Предлагаем читателю самостоятельно проделать эту работу, после чего получаем систему дифференциальных уравнений, практически полностью совпадающую с (7.24), поэтому вновь выписывать здесь ее не будем.

Рис. 7.16. Траектория движения малого положительного заряда
в поле большого положительного заряда при Vx(0) = -2; Vy(0) = -1; X(0) = 1,5; У(0) = 1
Возвращаясь к задаче, когда заряды являются одинаково заряженными и потому отталкиваются, можно заметить, что уравнения будут аналогичными,лишь вовтором и в четвертом уравнениях знаки «минус» сменятся на «плюс».
В качестве примера на рис. 7.16 приведена типичная траектория движенияпривзаимном отталкивании зарядов.






