Абстрактное понятие «сплошная среда» широчайшим образом используется в науке. Во многих ситуациях жидкости, газы, твердые тела, плазму можно рассматривать как «сплошные», отвлекаясь от их молекулярного и атомарного устройства. Например, при распространении волн в жидкости или газе реальная дискретность этих сред практически не сказывается на свойствах волн, если длина волны много больше характерного межмолекулярного расстояния; при изучении процессов распространения тепла или диффузии тоже до поры-до времени можно «забыть» об атомарном строении вещества и оперировать такими характеристиками как теплоемкость, теплопроводность, скорость диффузии и др., которые можно обсуждать и практически использовать в технике без выяснения их микроскопической природы. Вообще, «макрофизика» может быть очень полезной чисто практически без привлечения «микрофизики», которая стремится докопаться до объяснения природы явлений, исходя из атомарных и еще более «микроскопических» представлений.
|
|
|
В приближении сплошной среды свойства объекта описываются математически с помощью непрерывных функций от координат и времени: f(
,t)). За каждым «свойством» закрепляется такая функция, и их взаимосвязаный вид дает полное описание среды.
Существующие задачи можно разделить на два класса: статические и динамические. В первом случае значения величин, характеризующих сплошную среду, не зависят от времени, и требуется найти их пространственное распределение. Хорошо известные примеры: как распределено в пространстве значение электрического поля, созданного неподвижным точечным зарядом? как распределены электрическое поле в конденсаторе? поле постоянного магнита? скорости в стационарно движущемся по трубе потоке жидкости? На рис. 7.24 дан (схематически) ответ на последний вопрос: чем ближе к стенке трубы, тем меньше скорость из-за естественной вязкости жидкости и трения о стенку трубы. Качественно понять указанную закономерность можно, вероятно, без всяких уравнений, но определить профиль скоростей, т.е. форму огибающей векторов скорости без математического моделирования невозможно. Таких задач, представляющих огромный практический интерес, очень много, а связанные с их решением математические проблемы столь сложны, что чаще всего соответствующее математическое моделирование может быть реализовано лишь на компьютере.

Рис. 7.24. Распределение скоростей в потоке жидкости, движущейся в трубе
Как правило, еще сложнее решение динамических задач. Если электрическое поле создается движущимися зарядами, то определить, как оно меняется во времени в каждой точке пространства - задача очень непростая. Не менее трудно определить эволюцию скорости в разных местах в жидкости, если в некотором месте пульсирует давление; изменения значений температуры в разных точках некоторого тела, которое подогревают изнутриили извне от источников тепла, интенсивность которых изменяется со временем.
|
|
|
Подобные задачи привлекают неослабевающее внимание физиков, научных работников смежных областей, инженеров уже не менее 200 лет. Практическая необходимость в их решении велика; без этого не спроектировать ни современных технических устройств и механизмов, ни строений, ни космических аппаратов, ни многого другого. Главный способ решения таких задач - математическое моделирование. Любопытно, что и сами компьютеры, и входящие в них микроэлементы невозможно спроектировать без оценок электрических полей и потоков тепла от этих устройств.
Поскольку математический аппарат такого моделирования бывает весьма сложен, мы ограничимся лишь двумя относительно простыми задачами, в которых отражается часть общих закономерностей. Одна из них - статическая, другая -динамическая.
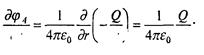
Распределение электростатического поля. Что стоит за электрической (кулоновской) силой, заставляющей двигаться заряженную частицу q? – Ответ хорошо известен: электрическое поле
, существующее в каждой точке пространства, созданное другими заряженными телами (которые будем считать неподвижными). Если это поле создается одним точечным зарядом Q, то величина напряженности поля зависит от расстояния r от Q до данной точки пространства:
, ее направление - по радиусу от заряда (если Q положителен). Поле это существует совершенно независимо от «пробного» заряда q и может рассматриваться как сплошная среда. Существуют две взаимосвязаные характеристики электрического поля: напряженность E (векторная характеристика) и потенциал φ - скалярная. Для поля точечного заряда
.
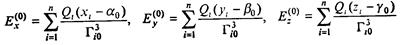
Если поле создано не одним, а несколькими зарядами, то напряженность и потенциал в каждой точке можно найти из известного принципа суперпозиции:

где
и φi создаются в этой точке i -м зарядом, рис. 7.25. По отношению к
принцип суперпозиции означает необходимость векторного сложения, к φ — «обычного» (с учетом знаков отдельных потенциалов).
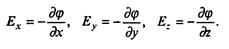
Зная потенциал в каждой точке поля, т.е. функцию Ф = φ (х, у, z), можно найти напряженность в каждой точке чисто математическим путем, отражающим тот факт, что проекция вектора напряженности на любое направление есть скорость изменения потенциала в этом направлении:
(7.43)

Рис. 7.25. Нахождение напряженности электрического поля по принципу суперпозиции
Частным случаем (7.43) являются формулы
и
для одного точечного заряда. Действительно, фиксируем некоторую точку А поля на расстоянии r от заряда Q и введем локальную систему координат с центром в А; у этой системы ось r является продолжением радиуса-вектора r, а две другие оси –х и у - перпендикулярны к ней. Примем, что
, и найдем
, опираясь на формулы (7.43). Поскольку φA от х и у не зависит, то
= 0,
= 0, а

таким образом,
- т.е. мы пришли к известному результату о величине и направлении поля, созданного точечным зарядом.
Расчет электрического поля - важная в прикладном плане задача. В реальных конструкциях поле создается не одним-двумя точечными зарядами, а достаточно причудливо расположенными в пространстве заряженными телами самых разнообразных форм: пластины, плоские и изогнутые; штыри; правильные и деформированные сфероиды и т.д. Для инженера и научного работника важно иметь наглядную картину поля, изображенного некоторым условным образом. Самое неудобное изображение, почти не используемое - нарисовать много стрелок, соответствующих напряженности поля в разных точках, так, чтобы длины стрелок были пропорциональны напряженностям. Такой рисунок является громоздким, стрелки на нем пересекаются, мелкие детали выявить трудно. Есть два классических способа для наглядного изображения поля: поверхностями (или линиями) равного потенциала и силовыми линиями поля.
|
|
|
Можно доказать, что для любого электростатического поля множество точек, потенциал в которых одинаков, т.е. точек, удовлетворяющих уравнению φ (х, у, г) = φ0, при любом φ0 образует замкнутую поверхность (так называемую, эквипотенциальную поверхность). Для одного точечного заряда это сфера; в общем случае эта поверхность может быть очень сложной. Для многих технических приложений знать форму таких поверхностей просто необходимо - например, чтобы, располагая детали конструкции, избежать между ними большой разности потенциалов. Линии равного потенциала являются сечениями поверхности равного потенциала той плоскостью, в которой строится изображение.
Силовые линии, как известно из любого учебника физики, есть такие линии, касательные к которым в каждой точке задают направление вектора напряженности поля. Силовые линии никогда не пересекаются между собой. Они начинаются на положительных зарядах и либо заканчиваются на отрицательных, либо уходят «на бесконечность». По обычному соглашению число силовых линий, исходящихизточечного заряда, пропорционально величине этого заряда; коэффициент пропорциональности выбирается таким, чтобы изображение было легко читаемым.
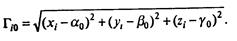
Обсудим практический метод построения картины поверхностей равного потенциала для системы, состоящей из нескольких точечных зарядов произвольной величины и знака, любым способом расположенных в пространстве. Введем некоторую систему координат, начало которой удобнее расположить в «пустой» точке, т.е. ни на одном из зарядов. Пусть в этой системе координаты зарядов имеют значения
= (хj,уj,zj), j= 1,2, ...р, где р - число зарядов.
Поскольку изображать трехмерные поверхности - дело достаточно сложное, рассмотрим вначале построение линий равного потенциала (изолиний), образованных сечением поверхности равного потенциала некоторой плоскостью; пусть, для определенности, это будет плоскость л'}'. Воспользуемся методом сеток, играющим в моделировании свойств сплошных сред исключительно важную роль.
|
|
|
Выберем по осям х и у некоторые шаги hx и hy и покроем плоскость сеткой, образованной прямыми, параллельными осям х и у и отстоящими друг от друга на расстояниях hx и hy соответственно. Точки пересечения этих прямых — узлы сетки. Пронумеруем их так: начало координат (0, 0), следующий по оси x вправо - (0, 1), влево - (0, -1); по оси у вверх - (1, 0), вниз (-1, 0) и т.д. Значения потенциала, создаваемого системой зарядов Q1 … Qp в узле (i,k), согласно принципу суперпозиции, таково (обратим внимание, что здесь и ниже i - номер строки, k - столбца сетки):

Ограничимся прямоугольной областью в плоскости ху: [-mhx, mhx] по оси х и [-nhy, nhy] по оси у. В этой области (2 m + l) ∙ (2 n + l) узлов. Вычислим значения потенциала в каждом из них по указанным формулам; для ЭВМ эта задача совершенно элементарна, даже если т и n составляют несколько десятков или сотен. В результате получим матрицу значений потенциала.
Фиксируем некоторое значение потенциала Ф и построим изолинию, соответствующую этому значению. Для этого проходим, к примеру, по i -ой горизонтальной линии сетки и ищем среди ее узлов такие соседние, значения потенциала в которых «захватывают» Ф между собой; признаком этогоможет служить выполнение неравенства

Если такая пара узлов найдена, то координатуточки, в которой Ф = Ф, найдем приближенно с помощью линейной интерполяции:
(7.44)
Найдя в данной горизонтали все такие точки, переходим к следующей горизонтали, пока не исчерпаем их все. Для этого надо совершить двойной циклический проход: во внешнем цикле перебирать i от -п до +п, во внутреннем перебирать k от - т до +т.
После этого следует аналогично заняться поиском нужных точек на вертикальных линиях сетки. Детали процедуры очевидны; формулы, аналогичные (7.44), имеют вид:
(7.45)
После прохождения всех горизонтальных и вертикальных линий сетки находятся все те точки на этих линиях, в которых потенциал равен
. Проведя — мысленно или на бумаге — кривую, плавно проходящую через ближайшие точки, получаем искомую изолинию (разумеется лишь в том случае, если значение
выбрано разумно и такая линия есть в пределах рассматриваемой области). Затем берем другие значения
и повторяем указанную процедуру, получая таким образом семейство изолиний.
Приведенная ниже программа реализует указанные построения. Предполагается, что все заряды лежат в одной плоскости, и изолинии строятся тоже лишь в этой плоскости.
Программа 149. Программа построения линий равного потенциала.
Program Potential;
Uses Crt, Graph;
Const N = 100; (Размер сетки NxN}
Var X, У, Q, G: Array[1..10] Of Real; F: Array[0..N, 0..N] Of Real;
I, J, M, L, K: Integer; A, B, R: Real;
Begin
WriteLn('Сколько зарядов? (не более 10)'); ReadLn(K);
Write('Ведите координаты x, у и величины зарядов q');
WriteLn('(координаты - в диапазоне 0-1)');
For I:= 1 То К Do
Begin Write('х[', I, ']=');
ReadLn(X[I]); Write('y[', I, ']='); ReadLn(Y(I]);
Write('q[', I, ']= '); ReadLn(Q[I])
End;
For I:= 0 To N Do
For J:= 0 To N Do
For M:= 1 To K Do
Begin
R:= Sqrt(Sqr(I / N - X[M]) + Sqr(J / N - Y[M]));
If R>=1E-6 Then F(I,J]:= F(I,J]+Q[M]/R Else F[I,J]:=1E+8
End;
Write('Сколько построить изолиний? (не более 10)'); ReadLn(L);
WriteLn('Введите значения потенциала g для построения изолиний');
For I:= 1 То L Do
Begin Write ('g[', I, ']='); ReadLn(G(I]) End;
DetectGraph(I, J); InitGraph(I, J, ");
For I:= 1 To К Do
Begin
A:= X[I] * GetMaxX; В:= (1 - Y[I]) * GetMaxY;
Circle(Round(A), Round(B), 4); FloodFill(Round(A), Round(B),
GetColor);
End;
For M:= 1 To L Do
Begin
B:= G[M]; SetColor(M);
For I:= 0 To N Do
For J:= 0 To N - 1 Do
If (F[I, J] - B) * (F[I, J + 1] - В) < О
Then Begin
A:=(J+(B-F[I,J])/(F[I,J+1]-F[I,J]))/N;
Circle(Round;I/N*GetMaxX), Round((1-A)*GetMaxY), 1)
End;
For J:= 0 To N Do
For I:= 0 To N - 1 Do
If (F[I, J] - B) * (F[I + 1, J] - В) < 0 Then Begin
A:=(I+(B-F[I,J])/(F[I+1,J]-F[I,J]))/N;
Circle(Round(A*GetMaxX), Round((1-J/N)*GetMaxY), 1)
End
End;
SetColor(15); OutTextXY(10, 50, 'для продолжения нажмите любую клавишу');
Repeat Until KeyPressed; CloseGraph;
End.
Несколько примеров использования этой программы приведены на рис. 7.26, 7.27.

Рис. 7.26. Поле создано семью зарядами q1 = q2 = q3 = q4 = 1, q5 = q6 = q7 = -1, имеющими соответственно координаты (0,2;0,2), (0,8;0,8), (0,2;0,8), (0,8;0,2), (0,2;0,5), (0,5;0,5), (0,8;0,5). Изолинии построены для потенциалов -4,-3, -2, -1,0, 1, 2, 3,4

Рис. 7.27. Поле создано пятью зарядами q1 = 1, q2 = -2, q3 = 2, q4 = -3, q5 = 1, имеющими соответственно координаты (0,3; 0,75), (0,2; 0,5), (0,7; 0,2), (0,5; 0,9), (0,5; 0,5). Изолинии построены для потенциалов -4, -3, -2, -1,0, 1, 2, 3,4
Оставим технические вопросы на самостоятельное решение и обсудим некоторые принципиальные. Допустим, между двумя ближайшими узлами выполняется записанное выше неравенство - означает ли это, что между ними действительно лежит одна точка, в которой Ф =
? Ответить нетрудно: да, если потенциал между этими узлами меняется монотонно. Если же узлы столь редки (т.е. hx и (или) hy слишком велики), что потенциал между соседними узлами меняется немонотонно, то числа, полученные по формулам (6.44), (6.45), не имеют практически никакого отношения к реальным точкам, в которых Ф =
; это утверждение проиллюстрировано рис. 7.28.
Очевидно, что для получения изолиний следует брать достаточно малые hx и hy. Проверка достоверности (эмпирическая) состоит в том, что строится картина изолиний с некоторыми hx и hy (часто берут hx = hy), а затем с вдвое меньшими значениями; если картины близки, то построение на этом завершается.
Даже если все заряды лежат в одной плоскости (как это было на рис. 7.26 и 7.27), поле существует, конечно, и вне этой плоскости. Один из способов наглядного построения изображения поля - найти изолинии, соответствующие некоторому фиксированному набору значений Ф; в нескольких параллельных плоскостях и представить их на общем рисунке, дающем представление о поверхностях равного потенциала. Для этого программу, приведенную выше, следует слегка дополнить.
Метод сеток в разных задачах физики сплошных сред принимает разное обличие; еще один пример впереди. Однако, во всех случаях за ним скрыта общая идея, обладающая большой познавательной силой - идея дискретизации, т.е. представления непрерывной величины, имеющей бесконечно много значений, отдельными порциями, описываемыми конечным набором значений. Эта идея продуктивнанетолько в физике, но и в прикладной математике, информатике, других науках.

Рис. 7.28 На верхнем рисунке α - точка, в которой Ф = Ф0. β ≈ α - найдено линейной интерполяцией. На нижнем рисунке точек, в которых Ф = Ф0, много; β формально найдено линейной интерполяцией
Для построения силовых линии поля можно поступить следующим образом. Выберем некоторую точку с координатами (α0, β0, γ0) и найдем в ней напряженность поля

по правилу суперпозиции
(7.46)
где

Проведем мысленно в точке (α0, β0, γ0) касательную к
и возьмем вдоль нее небольшой отрезок длины h, начинающийся в
; координаты конца отрезка
(7.47)
Тем самым получаем координаты точки А', лежащей на касательной к силовой линии (вместо точки А, лежащей на самой линии) Если h мало, то А' близко к А. Далее, отправляясь от А', найдем по той же схеме следующую точку В' вблизи силовой линии и т.д. Ломаная OA'B''... приблизительно передает силовую линию. Построение целесообразно начать вблизи какого-нибудь положительного заряда (если он есть) и закончить тогда, когда силовая линия подойдет вплотную к отрицательному заряду или уйдет «на бесконечность».
Построение картины силовых линий, дающих представление о поле - дело неформальное, требующее понимания физической сущности. Два семейства взаимно перпендикулярных линий - равного потенциала и силовых - дают весьма наглядную и исчерпывающую характеристику электростатического поля.
Учитывая трудности визуализации трехмерных изображений, целесообразно ограничиться (по крайней мере вначале) рассмотрением ситуаций, когда все заряды лежат в одной плоскости; тогда силовая линия, начинающаяся из любой точки данной плоскости, из этой плоскости не выйдет, и получится легко воспринимаемая картина.
Способ получения формул (7.47) есть частный случай приема линеаризации -сведения сложной зависимости к простейшей линейной для малых расстояний (или времен). Это мощнейший прием в моделировании физических процессов и в построении многих методов численного анализа. Фактически он лежит в основе дифференциального исчисления - само понятие производной возникает при линеаризации функции.






