Как движется Земля и другие планеты в пространстве? Что ждет комету, залетевшую из глубин космоса в Солнечную систему? Многовековая история поиска ответов на эти и другие вопросы о движении небесных тел хорошо известна; для многих людей, внесших большой вклад в науку, именно интерес к астрономии, устройству большого мира, был первым толчком к познанию.
По закону всемирного тяготения сила притяжения, действующая между двумя телами, пропорциональна их массам и обратно пропорциональна квадрату расстояния между ними. Если поместить начало системы координат на одном из тел (размерами тел по сравнению с расстоянием между ними будем пренебрегать), математическая запись силы, действующей на второе тело, имеет вид (рис. 7.14)
(7.20)
Здесь G = 6,67∙10-11 м3/кг∙с2) - гравитационная постоянная.

Рис. 7.14. Выбор системы координат при решении задачи двух тел
Знак «минус» в формуле (7.20) связан с тем, что гравитационная сила является силой притяжения, т.е. стремится уменьшить расстояние г между телами.
|
|
|
Далее мы ограничимся лишь изучением взаимного движения двух тел. При этом возникает непростой вопрос: с какой позиции (в какой системе координат) изучать это движение? Если делать это из произвольного положения - например, наблюдатель с Земли изучает взаимное движение Солнца и планеты Юпитер - задача станет для нас слишком сложной. Ограничимся лишь простейшей ситуацией: рассмотрим движение одного из тел с точки зрения наблюдателя, находящегося на втором, т.е., например, движения планеты или кометы относительно Солнца, Луны относительно Земли, пренебрегая при этом относительно небольшими силами притяжения от всех прочих небесных тел. Разумеется, мы тем самым произвели ранжирование факторов, и наши последующие действия имеют отношение к реальности лишь в меру соблюдения определенных условий.
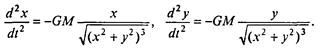
Уравнение, описывающее движение тела m в указанной системе координат, имеет вид

или в проекциях на оси х, у
(7.21)
Интересующая нас орбита сильно зависит от «начальной скорости» тела т и «начального расстояния». Мы взяли эти слова в кавычки, так как при изучении движения космических тел нет столь отчетливо выделенного «начального момента», как в ранее рассмотренных ситуациях. При моделировании нам придется принять некоторое положение условно за начало, а затем изучать движение дальше. Очень часто космические тела движутся практически с постоянной скоростью по орбитам, близким к круговым. Для таких орбит легко найти элементарное соотношение между скоростью и радиусом. В этом случае сила тяготения выступает в роли центростремительной, а центростремительная сила при постоянной скорости выражается известной из начального курса физики формулой mv2/r. Таким образом, имеем
|
|
|

или
(7.22)
- искомое соотношение.
Период движения по такой орбите

Заметим, что отсюда вытекает один из законов Кеплера, приведший Ньютона к открытию закона всемирного тяготения: отношение кубов радиусов орбит любых двух планет Солнечной системы равно отношению квадратов периодов их обращения вокруг Солнца, т.е.
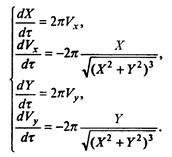
. Более точная формулировка дана ниже (так как реально орбиты планет не вполне круговые). Если соотношение (7.22) нарушено, то орбита не будет круговой. Выяснить, какой она будет, можно в ходе численного моделирования. Сведем (7.21) к системе четырех дифференциальных уравнений первого порядка:
(7.23)
В этой задаче особенно неудобно работать с размерными величинами, измеряемыми миллиардами километров, секунд и т.д. В качестве величин для обезразмеривания удобно принять характерное расстояние от Земли до Солнца ρ = 1,496∙1011 м, (так называемая, астрономическая единица), период круговой орбиты
,соответствующий этому расстоянию, скорость движения по ней
, т.е. принять

После обезразмеривания получаем
(7.24)
Отметим замечательное обстоятельство: в безразмерных переменных уравнения вообще не содержат параметров! Единственное, что отличает разные режимы движения друг от друга - начальные условия.
Можно доказать, что возможные траектории движения, описываемые уравнениями (7.24) - эллипс, парабола и гипербола.

Рис. 7.15. Иллюстрация второго закона Кеплера
Напомним законы Кеплера, рис. 7.15.
1. Всякая планета движется по эллиптической орбите с общим фокусом, в котором находится Солнце.
2. Каждая планета движется так, что ее радиус-вектор за одинаковые промежутки времени описывает равные площади; на рисунке промежутки времени движения от A1 к A2 и от B1 к B2 считаются одинаковыми, а площади секторов F1A1А2 и F1B1B2 равны. Это означает, что чем ближе планета к Солнцу, тем у нее больше скорость движения по орбите.
3. Отношение кубов больших полуосей орбит двух любых планет Солнечной системы равно отношению квадратов периодов их обращения вокруг Солнца.
Уравнения (7.24) описывают движение не только планет, но и любых тел, попадающих в поле тяготения большой масcы. Так, в Солнечной системе существует огромное количество комет, движущихся по чрезвычайно вытянутым эллиптическим орбитам с периодами от нескольких земных лет до нескольких миллионов земных лет. Судьбы небесных тел, не являющихся постоянными членами Солнечной системы, а залетевших в нее издалека, определяютсяих скоростью - еслионадостаточно велика, то орбита будет гиперболической, и. облетев Солнце, тело покинет Солнечную систему, если нет - перейдет на эллиптическую орбиту и станет частью системы; пограничная между ними орбита - параболическая.
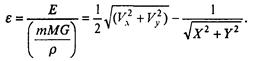
Все эти утверждения можно проверить и детально исследовать с помощью уравнений (7.24). При этом полезно и удобно использовать одно важнейшее свойство обсуждаемой системы, которого не было у рассмотренных ранее - сохранение полной энергии движущегося тела (такое свойство называется «консервативность»). Полная энергия движущегося небесного тела т в системе двух тел имеет значение

Первое слагаемое - кинетическая, второе - потенциальная энергия. В безразмерных переменных

Наличие неизменного параметра е в ситуации, когда изменяются Vx, Vy, X, Y, позволяет контролировать процесс решения системы дифференциальных уравнений, проверять устойчивость метода, подбирать шаг интегрирования.