Из своей теории полезности Джевонс выводит теорию обмена, которая одновременно является и теорией ценности. Указывая на многозначность понятия «ценность», под которым было принято понимать и потребительную, и меновую ценность, автор предпочитает свести его только к последней, т.е. к пропорции обмена одного блага на другое9. Эта меновая пропорция на свободном и открытом рынке, где вся информация доступна всем его участникам1", должна быть в данный момент единой для данного однородного блага (так называемый закон безразличия, т.е. отсутствия ценовой дискриминации)".
Торг на рынке ведут так называемые торгующие стороны (trading bodies), которыми могут быть индивиды, группы лиц данной профессии (фермеры, мельники и пр.) и даже население целых континентов (например, Америка продает хлеб в Европу в обмен на железо). Понятие торгующих сторон потребовалось Джевонсу для того, чтобы его
7 Ibid. P. 48.
8 Ibid. P. 60.
' Ibid. P. 77.
10 Интересно, что требование полной информации о запасах товаров и намерений обменивающихся сторон Джевонс включает в определение самого понятия «рынок* (Ibid. P. 85).
11 Ibid. P. 91.
] i-орию индивидуального обмена, основанную на теории предельной полезности, можно было распространить на реальные рынки, гдедей-1 [ вуют множество продавцов и покупателей. Однако, как вскоре по-i лзал Эджуорт, это рассуждение некорректно потому, что понятие i родней предельной полезности блага для группы лиц записит от распределения блага между ними до и после обмена и оперировать им <<ра объяснении пропорций обмена вряд ли возможно. Таким обра-юм, Джевонсу не удалось вывести рыночную меновую ценность бла-i -I из его предельной полезности (это сделал несколько позднее Маршалл) и его изложенная ниже теория в действительности описывает тлько случай индивидуального обмена.
Общую идею своей теории обмена Джевонс поясняет на следующем графике (рис.1). По горизонтальной оси откладываются количества обмениваемых товаров, например, зерна и мяса, причем ко-i ячество зерна возрастает слева направо, а количество мяса — справа налево. По вертикальной оси откладывается предельная полезность обоих товаров (естественно, предельная полезность зерна убывает слева направо, а мяса - справа налево). Предположим, что до обмена у торгующей стороны А было а единиц мяса, а у торгующей стороны В — Ь единиц зерна. Обменивая некоторое количество своего мяса па зерно, А сдвигается из точки а в точку а' (для удобства предполага-пся, что обмениваемые количества зерна и мяса измеряются одинаковыми горизонтальными отрезками). При этом для него полезность приобретеннного зерна составит aa'gd, а полезность отданного мяса — псего adch, так что чистый прирост полезности от обмена составит "сличину, равную площади hdgc. Очевидно, что в интересах А будет продолжать обмен, пока он не придет в точку т. То же самое со своей i. юроны проделает и владелец зерна В.
|
| Рис. 1 |
FD зерна FD мяса
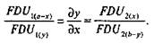
Далее Джевонс дает формальное алгебраическое изложение теории обмена. Пусть в итоге количество мяса х было обменено на количество зернау. Таким образом, после обмена у А осталось а -хмяса и у зерна, а у В - х мяса и b - у зерна.
Тогда последнюю степень полезности мяса для А можно обозначить FDU а для В — FDU2fx)12, Соответственно предельная полезность зерна для участников обмена после его завершения будет FDUlM для А и FDU2 для В. Точка равновесия характеризуется тем, что дополнительный обмен бесконечно малых количеств зерна и мяса (Эл на ду) не принесет обменивающимся сторонам ни прироста, ни потери полезности. Поэтому в этой точке потеря полезности мяса и прирост полезности зерна для А будут одинаковыми11:
То же можно сказать и про прирост полезности мяса и потерю полезности зерна для В:
FDUmxdx=FDU2ib^xdy. В итоге имеем равенство:

Но поскольку на рынке действует закон безразличия, то пропорция обмена бесконечно малых Эх и ду точно такая же, как равновесная пропорция обмена хну, которую, напомним, мы и стремимся определить. Таким образом, заменив ду/дх на^Д, получим уравнение обмена Джевонса:
|
То есть меновое соотношение товаров обратно соотношению их последних степеней полезности для обменивающихся сторон14.
1 Индексы 1 и 1 обозначают значения FDU соответственно для А и В.
13 Здесь речь идет уже о величине полезности, которая равна последней степени полезности, умноженной на приращение (убавление) количества блага.
14 Ibid. P. 100.






