Параллельно с эконометрическими исследованиями создавалась м и-оретическая основа монетаризма — модель номинального дохода Ф(шдмена8.
Эта модель может быть представлена следующим образом:
|
О)
(2)
(3)
(4)
(5)
* Изложена г> двух работах Фридмена: Friedman M. A Theoretical Frame-I win k for Monetary Analysis //Journal of Political Economy. 1970. № 2; A Mone-tuiy Theory of Nominal Income//Journal of Political Economy. 1971.№ 2.
|
где Y— номинальный доход, С- потребление в текущих ценах, инвестиции в текущих ценах, Р— индекс цен, # —реальный npouei| т.е. процент при отсутствии инфляции, g~ темп роста реального, хода (производства), знак * - относится к ожидаемым значениям (ответствующей переменной.
Что характерно для этой модели?
В ней можно выделить две независимые части1, реальная - ура нения (1) - (4) и денежная - уравнения (5) - (8). Именно втора представляет вклад Фридмена.
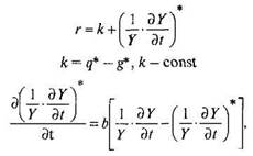
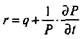
Уравнение (5) предполагает, что эластичность спроса на день| по доходу равна 1.
Уравнение (6) получено в результате несложных преобразован^ из уравнения Фишера, устанавливающего связь между реальным щ
центом и темпом инфляции:
при следующих услов!-
г = г*, q- g= к, к = const. Причем последнее условие означает не* менность распределения доходов, а также содержит предположен! о полном использовании ресурсов, в том числе и рабочей силы.
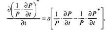
Уравнение (8) задает адаптивный характер ожиданий.
В этой модели ожидания могут быть заданы и через перемени) общего уровня цен. В этом случае вместо уравнения (8) получим ел дующее уравнение:
|
где а — коэффициент адаптации.
(8-1
9 В общем виде адаптивные ожидания могут быть заданы следующ| формулой: X* = Xt_x + а{Х*{ - А^,), которая показывает, что текущий пр гноз зависит от прошлого значения переменной и ошибки прогноза, отн сительно прошлого значения переменной. Легко видеть, что эта форму эквивалентна следующей: ЛГ*Г =ЪЬХ1<, где bt — коэффициенты, получений из коэффициентов исходного уравнения.
Принципиальное значение в модели имеют два механизма: воз-1йствия денег на процент, а через него на ожидаемое изменение но-|Шального дохода (уравнения 5, 6), и адаптации, отражающий спо-5ность системы адаптироваться к отклонениям номинального до-i от ожидаемого его уровня (уравнение 8). Оба эти механизма во (имодействии и определяют траекторию краткосрочного движения, та траектория описывается следующим уравнением, полученным тем несложных преобразований из модели:
|
(9)
i s — параметр, отражающий характеристики функции спроса на Вньги.
От уравнения (9) легко перейти к уравнению стационарной траек-
эии, описывающей движение в ситуации, когда ожидаемые и деист-Ительные значения темпов роста номинального дохода совпадают.
(10)
Очевидно, что в этом случае темпы роста номинального дохода и [нег равны, а долгосрочная стабильность цен достигается в случае,)гда темп роста денежной массы соответствует темпу роста реаль-)го производства.
Сели вместо уравнения (8) использовалось уравнение (8-й), то jrouoe уравнение будет иметь следующий вид:
|
(9-а)
Iftii у — реальный доход.
Для стационарного режима получаем:
— эквивалентное уравнению (10).
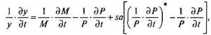
Модель ничего не говорит о влиянии денег на цены и уровень (юизводства в отдельности. Этот аспект был рассмотрен в рамках 'ПК называемой теоремы об ускорении, которая явилась обобщени-W модели номинального дохода.
Фридмен ввел функции, описывающие изменения цен и реаль-ого дохода. Переменными этих функций являлись: изменения но-ипильного дохода, ожидаемых цен и ожидаемого реального дохода, |лкже реального дохода и его ожидаемого значения. Эти функции шут быть представлены следующим образом:
IV История экономических учений
|
(II)
Объединив эти уравнения с уравнением (9), Фридмен; получил систему трех линейных дифференциальныхуравнений, которая опи сывает реакцию системы на возмущения, вызванные дополните п. ной эмиссией денег.
Если темп роста денежной массы увеличивается, возрастает рас хождение между действительным и ожидаемым темпом роста номи нального дохода. Уравнения (1J) и (12) показывают, как это расхождение «распределяется» между ростом цен и реального дохода.
При некоторых упрощающих предположениях можно ожидать, что данная система будет описывать затухающий колебательный процесс, т.е. когда воздействие одноразового увеличения денежной массы про кращается, через некоторое время экономика возвращается на траек торию устойчивого роста. Колебания возобновляются, когда систс сообщается новый импульс в виде ускоренного роста денежной мае
Иными словами, для того чтобы денежная политика влияла реальное производство, необходимо увеличивать массу денег возр.к тающим темпом. В этом и состоит теорема об ускорении.






