
При упрощенных расчетах общая потребность в персонале определяется по нормам выработки:
Чпл = Qпл / Впл, (4.1)
где Чпл – среднесписочная плановая численность рабочих; Qпл – планируемый объем выпуска продукции; Впл – плановая норма выработки на одного рабочего.
Плановая численность (Чпл) рабочих-сдельщиков и рабочих повременщиков, занятых на нормируемых работах, определяется с использованием данных о трудоемкости производственной программы по формуле:
Чпл = [Тпр / Фпл] × Ксп, (4.2)
где Тпр – трудоемкость производственной программы; Фпл – полезный фонд времени одного рабочего (определяется из баланса рабочего времени); Ксп – коэффициент пересчета явочной численности в списочную (в прерывных производствах определяется отношением номинального времени к явочному, в непрерывных – отношением календарного к явочному).
Расчет численности рабочих, занятых обслуживанием оборудования, его наладкой, ремонтом и другими подсобными работами проводится по нормам обслуживания по формуле:
Чпл = [(О × С) / Но] × Ксп, (4.3)
где О – число единиц оборудования; С – количество смен; Но – норма обслуживания (сколько единиц оборудования может обслужить один рабочий).
Пример. На предприятии имеется 1000 ед. оборудования. Норма обслуживания одного слесаря-ремонтника – 100 ед. за смену. Предприятие работает в две смены. Номинальный фонд рабочего времени – 265 дней, реальный – 230 дней. Численность слесарей-ремонтников рассчитывается следующим образом:
Чпл = [(1000 × 2) / 100] × (265 / 230) = 23 чел.
Применительно к работам, по которым не устанавливаются их объемы и нормы выработки, численность рабочих может быть определена непосредственно по рабочим местам:
Чпл = n × С × Ксп, ((4.4)
где n – число рабочих мест.
Пример. В цехе имеется четыре крана. Каждый из них обслуживается крановщиком и двумя стропальщиками. Цех работает в две смены. Данные по фонду рабочего времени – как в предыдущей задаче. Соответственно, необходимое количество крановщиков составит:
Чпл = 4 × 2 × (265 / 230) = 9 чел.;
стропальщиков:
Чпл = 4 × 2 × 2 × (265 / 230) = 18 чел.
Расчет по нормативам численности осуществляется, когда производственный объект или оборудование обслуживаются группой рабочих, и не предопределяется их расстановка внутри объекта. Норматив численности определяется на основе нормы обслуживания или нормы времени обслуживания по формуле:
Нч = (Р / Но) × Ксп, (4.5)
где Р – объем работы; Но – норма обслуживания (в тех же единицах, что и объем работы).
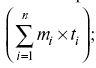
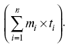
При определении численности административно-управленческого персонала можно использовать формулу Розенкранца. Она служит для проверки соответствия фактической численности необходимой, которая задается загрузкой данного подразделения или предприятия в целом:

где Ч – численность административно-управленческого персонала определенной профессии, специальности, подразделения и т. п.; n – количество видов организационно-управленческих работ, определяющих загрузку данной категории специалистов; mi – среднее количество определенных действий (расчетов, обработки заказов, переговоров и т. п.) в рамках i-гo организационно-управленческого вида работ за установленный промежуток времени (например за год); ti – время, необходимое для выполнения единицы m в рамках i-гo организационно-управленческого вида работ; T – рабочее время специалиста согласно трудовому договору (контракту) за соответствующий промежуток календарного времени, принятый в расчетах; Кнрв – коэффициент необходимого распределения времени; Кфрв – коэффициент фактического распределения времени; tp – время на различные работы, которые невозможно учесть в предварительных (плановых) расчетах.
Коэффициент необходимого распределения времени (Кнрв) рассчитывается следующим образом:
Кнрв = Кдр × Ко × Кп, (4.7)
где Кдр – коэффициент, учитывающий затраты на дополнительные работы, заранее неучтенные во времени, необходимом для определенного процесса

как правило, в пределах 1,2 ≤ Кдр ≤ 1,4; Ко – коэффициент, учитывающий затраты времени на отдых сотрудников в течение рабочего дня, как правило, устанавливается на уровне 1,12; Кп – коэффициент пересчета явочной численности в списочную.
Коэффициент фактического распределения времени (Кфрв) определяется отношением общего фонда рабочего времени какого-либо подразделения ко времени, рассчитанному как

Опыт
Пример планирования
Для определения численности персонала руководство автомобильного холдинга Major использует несколько способов. Когда открывается новый дилерский центр, формируется его штат на основе опыта иностранных автомобильных компаний. Объем обязательных работ, приходящийся на один центр в первые месяцы его развития, примерно одинаков, поэтому для каждого из них предусмотрено около 40 стандартных должностных позиций. Они распределяются по типовым подразделениям: дирекция (директор центра и 2 секретаря), салон продаж автомобилей (руководитель, администратор и 4 продавца-консультанта), отдел продаж запчастей (менеджер и три продавца), сервисная служба (5 главных менеджеров и 12 механиков), склад (руководитель и 2 сотрудника) и проч.
Со временем число клиентов дилерского центра растет (когда и как оно увеличится, в компании приблизительно знают исходя из собственных исследований рынка), поэтому типовой штат нуждается в пополнении. Например, чтобы определить, сколько нужно нанять дополнительных технических сотрудников, в Major используется показатель нормы выработки, который указывает, за какое время один сотрудник должен выполнить определенный объем работы. База нормы выработки составляется исследовательскими подразделениями поставщиков – автомобильных компаний. Например, согласно этим нормам, механик в дилерском центре Nissan должен успеть заменить воздушный фильтр за 0,2 ч, масло двигателя – за 0,4 ч, а передние колодки – за 0,6 ч. Сравнивая эти показатели с прогнозируемым объемом заказов, делается вывод, справится ли с ним штат службы или нужны дополнительные механики.
В компании Major проводится также и функциональный анализ, чтобы выяснить, не появляются ли у сотрудников со временем новые задачи, которые их отвлекают от выполнения основных. Например, резко выросли продажи автомобилей в кредит. Все вопросы, связанные с оформлением документов по таким покупкам, решали продавцы-консультанты. Вскоре выяснилось, что из-за работы с бумагами у них остается меньше времени на то, чтобы выполнять свою основную функцию – общаться с клиентами и продавать машины. Чтобы разгрузить продавцов, во всех дилерских центрах ввели новую должность – кредитного менеджера.
(По материалам журнала «Секрет фирмы»)
К математико-статистическим можно отнести следующие методы планирования потребности в персонале.
Метод экстраполяции – перенесение сегодняшней ситуации (пропорций) в будущее. Привлекательность этого метода состоит в его общедоступности; ограниченность – в невозможности учесть изменения в развитии организации и внешней среды. Поэтому метод подходит для краткосрочного планирования и для организаций со стабильной структурой, действующих в стабильной окружающей среде. Многие организации пользуются методом скорректированной экстраполяции, который учитывает изменения в соотношении факторов, определяющих численность сотрудников – повышение производительности труда, повышение цен и т. д.
Метод регрессионного анализа – установление зависимости между численностью персонала и влияющими на нее факторами. При линейной регрессии (т. е. Y = а + bХ) прогнозы основываются на корреляции между уровнем занятости и таким бизнес-критерием, как объем продаж. Поскольку ни один фактор не может полностью отразить потребность в персонале, такие прогнозы имеют мало шансов оказаться точными, за исключением, быть может, использование его в небольших фирмах, находящихся в очень стабильной окружающей обстановке. Соответственно для расчета состояния спроса в будущем может понадобиться ввод расширенного множества факторов, что приведет к множественному регрессионному анализу (т. е. Y = b0 + b1x1 + b2x2 + b3x3 + b4x4 +…). Коэффициенты b рассчитываются так, чтобы отделить направление и величину воздействия, которое оказывает на спрос на человеческие ресурсы каждая переменная. После этого полученные оценки независимых переменных вводятся в уравнение для расчета потребности в персонале.
Методы линейного программирования позволяют путем решения системы уравнений и неравенств, связывающих ряд переменных показателей, определять их оптимальные величины во взаимном сочетании. Это помогает по заданному критерию выбрать наиболее подходящий вариант функционирования или развития объекта управления, например распределения работников, позволяющего, с одной стороны, наиболее полно обслужить всех клиентов, а с другой стороны, сделать это при минимальных затратах и т. д. Однако возможности применения этого метода в сфере кадрового планирования ограничены.
Метод экспертных оценок основан на использовании мнений специалистов для определения потребностей в персонале. Такими специалистами в организации являются, прежде всего, руководители подразделений. Служба управления персоналом занимается сбором и обработкой оценок. В зависимости от размеров организации и числа линейных руководителей для этого могут использоваться различные методы – групповое обсуждение, письменный обзор (когда каждому руководителю предлагается ответить на подготовленный службой управления персоналом вопросник), метод Дельфи – письменный диалог между службой персонала и группой экспертов. Кадровая служба разрабатывает вопросник относительно потребностей в персонале и направляет его экспертам, затем обрабатывает их ответы и возвращает обобщенные результаты экспертам вместе с вопросами. Эта процедура повторяется до тех пор, пока эксперты не достигнут соглашения в отношении потребностей в рабочей силе.
Преимущество метода экспертных оценок – участие линейных руководителей, знания и опыт которых придают плану дополнительную весомость в глазах высшего руководства. Недостатки метода – трудоемкость процесса сбора и обработки мнений экспертов, а также субъективность их суждений.
В целях оптимизации численности персонала также может использоваться метод бенчмаркинга. [89] Для этого компании используют открытые или коммерческие информационные источники. При этом в качестве «образца для подражания» могут использоваться прямые конкуренты или отдельные подразделения успешно работающих фирм. Однако этот метод дает лишь приблизительные ориентиры. Кроме того, в большинстве случаев прямое копирование не является корректным и приходится использовать ряд дополнительных показателей (издержки на одного сотрудника; соотношение численности персонала и объема выполняемых работ; доля товарооборота или прибыли компании, приходящаяся на одного сотрудника).
Задачи по планированию потребности в персонале
Задача 1. На основе исходных данных рассчитать численность необходимого персонала по нормам обслуживания.

Количество агрегатов – 8.
Режим работы агрегатов – 2 смены.
Количество агрегатов, работающих в 1-ю смену – 8.
Количество агрегатов, работающих во 2-ю смену – 4.
Полезный фонд времени 1 работника за смену – 7 ч.
Время на дополнительное обслуживание агрегата за смену – 1,4 ч.
Коэффициент пересчета явочной численности в списочную – 1,15.
Задача 2. На основе имеющихся данных рассчитать численность производственного персонала для каждого вида работ по трудоемкости.

Задача 3. Планом развития фирмы в прогнозируемом периоде (следующий год) повышение объема производства продукции предусмотрено только за счет роста производительности труда, без увеличения численности.
Из анализа показателей установлено, что 40 % работников, достигающих пенсионного возраста, остаются работать на фирме.
Доля работников, для которых пенсионный возраст наступит в плановом периоде, – 6 % от общей численности персонала.
Доля убыли работников в связи с инвалидностью и смертностью составляет 3 % от общей численности персонала.
Численность уволенных в ряды вооруженных сил ожидается в районе 60 человек, в связи с направлением на учебу – 40 человек.
Доля увольнений в связи с естественной убылью, уходом на учебу, призывом в армию составляет примерно 60 % планируемой убыли.
Коэффициент текучести персонала предполагается снизить в плановом периоде с 14 до 10 %.
Вновь привлекаемый персонал после службы в армии составляет 10 % от численности работников, уволенных в вооруженные силы.
Задание: определить общую численность персонала компании и численность работников, которых необходимо привлечь из внешних источников.
Вопросы и задания для самопроверки
1. Назовите основные задачи и принципы планирования персонала.
2. Как распределяется ответственность за планирование персонала между кадровой службой и линейными менеджерами?
3. Дайте характеристику основным элементам планирования персонала.
4. Какие факторы влияют на потребность организации в персонале?
5. Дайте характеристику основным методам планирования потребности в персонале.
6. Решите задачи по планированию потребности в персонале.
Глава 5. Технология управления персоналом организации
5.1. Технология формирования компетенций
5.1.1. Компетентностный подход с позиций ресурсной теории и организация его использования
Под портретом компетенций, чаще всего, понимается документально оформленный набор профессиональных знаний, навыков, умений, личных и других качеств, которыми должен обладать исполнитель задач и функций на конкретном рабочем месте (в должности).
Компетентностный подход, по оценкам специалистов, обусловлен, прежде всего поиском организациями новых долгосрочных конкурентных преимуществ на рынке товаров и услуг и нахождением возможного пути к решению этой проблемы в ресурсной теории. Это исследовательское направление фокусируется на попытке объяснения различий результатов деятельности предприятий, в том числе с позиций задействованных ими ресурсов. В противоположность версии о единственном источнике различий в успехе хозяйствующих субъектов – их умелом позиционировании на конкретном, строго определенном рынке, ресурсная теория основывается на том, что предприятие само по себе со своими ресурсами есть существенный фактор, обеспечивающий его отличия в производительности и успехе относительно других. Как в ресурсе, в предприятии объединены все контролируемые им материальные и нематериальные имущественные объекты, способности, знания, эрудиция.
Цель формирования организационных компетенций как предпосылки конкурентных преимуществ хозяйствующего субъекта на рынке товаров и услуг подразумевает соединение его ключевых компетенций с индивидуальными компетенциями работников.
Ключевые компетенции организации (табл. 5.1) могут быть развиты из определенной части ее ресурсов, выделенных по следующим признакам:
– устойчивая ценность;
– редкость;
– имитационная сложность;
– незаменимость;
– овладение ими сотрудниками.[90]
Таблица 5.1
Ключевые компетенции предприятий[91]

Являясь базисом пирамиды компетенций, ключевые компетенции значимы как в случае, когда предприятие, располагая ими, предполагает распространить их и надежно «закрепить» за всеми сотрудниками, так и в ситуации, когда ключевые компетенции нужно сформировать для новой или существенно измененной бизнес-стратегии организации.
В обоих случаях идентификация ключевых компетенций индивидуальна для каждого предприятия и является важной задачей организационного менеджмента. Согласно практике актуальными для первичного озвучивания ключевых компетенций являются «круглые столы» руководящих работников, носящие характер Workshop, где стратегия предприятия или его функциональных сфер «преломляется» на ключевые компетенции. Основными вопросами, на которые важно получить ответ, являются следующие:
– какие ключевые компетенции необходимо сформировать или приобрести?
– насколько важны специальные ключевые компетенции в контексте стратегии предприятия?
Доминирующие компетенции можно выявить в том случае, если организация располагает разработанной на перспективу стратегией, имеет обозначенные на плановый период решения по поводу входа в определенные рыночные сегменты и выхода из них, ресурсное обоснование намеченных задач.
Идентифицированные ключевые компетенции согласно методике Р. Бюннера можно сначала описать в целом (глобально) и затем детализировать. Если в рамках Workshop в качестве ключевой компетенции была обозначена «репутация предприятия» (например, Roland Berger Strategy Consultants, табл. 5.1), это означает, что ее нужно представить в виде структурных элементов: репутация предприятия как работодателя (т. е. на рынке труда), репутация у клиентов, репутация на финансовом рынке и т. д. Каждый из этих элементов затем разрабатывается по отдельности и конкретизируется в соответствии с функциональной сферой бизнеса и менеджмента.
Относительная важность идентифицированных компетенций определяется на основании опыта менеджерской работы (экспертные оценки) и фиксируется на специальной шкале в относительных показателях, выраженных в процентах.
Выявленные ключевые компетенции и обоснованная их важность являются основанием для определения ответственного за их дальнейшее формирование. Такое «кураторство» должно быть определено еще во время Workshop, где называется конкретный ответственный из менеджмента организации высшего уровня. На предприятиях крупного бизнеса за каждой ключевой компетенцией (в зависимости от ее типа – техническая или маркетинговая) закрепляется лицо, входящее по своей должности в правление. «Свою» ключевую компетенцию он представляет внутри совета правления и обеспечивает ее реализацию через соответствующие позиции (должности) в организации.
Преимущества такого подхода заключаются, во-первых, в том, что ключевая компетенция имеет своего адресата на высшем управленческом уровне. Во-вторых, назначение ответственного обеспечивает своевременное достижение цели, страхует от запаздывания и возможных ошибок. В-третьих, важность приобретения ключевой компетенции становится ясной для всех категорий персонала.
5.1.2. Классификация компетенций
При значительном спектре мнений и подходов к трактовке и формированию компетенций большинство специалистов склоняются к тому, что компетенции – это обобщающий показатель, включающий в себя ряд локальных, или частных. В этом случае можно говорить о системе компетенций и синергетическом эффекте, который организация может получить при учете каждого из компетентностных уровней.
Являясь, с одной стороны, возможным источником получения конкурентных преимуществ, компетенции в то же время не являются одинаковыми для всех предприятий. Если за исходные принять ключевые компетенции организации, которые дифференцируются в зависимости от профиля деятельности и специфики предприятия, то их можно представить как обобщающий показатель и основание для укрупненной классификации.
Построение классификации обусловлено необходимостью получить информацию об однородных группировках компетенций, чтобы в дальнейшем, с одной стороны, иметь представления о тех знаниях, навыках и умениях, которыми работник должен обладать для реализации ключевой компетенции организации, и построить профиль стратегических компетенций. С другой стороны, присвоив каждой из компетентностных групп соответствующий ранг и определив ее весомость относительно других, – определить качество связи между составляющими ключевых компетенций и отдельными способностями работников, чтобы организация могла достичь этих компетенций.
Приведенные в табл. 5.1 типичные для отдельных предприятий ключевые компетенции не квалифицируются только как чисто технические. Наряду с технологическими ключевыми компетенциями (например Sony) выявляются процессообусловленные (Porsche, Tupperware), а также другие, основывающиеся только на продукте (Honda), или происходящие из исключительно одной функциональной сферы предприятия (Wal-Mart).
Ключевые компетенции могут также определяться отдельными производственными сферами, цехами. Так, ключевые компетенции инструментальных подразделений и специализирующихся на строительстве производственных помещений BMW складываются из таких составляющих, как гибкость, доведение до готовности инновационных инструментов и соответствующих сооружений с применением инновационных материалов, а также новейших соединительных и связующих техник. Эти станки и сооружения дают возможность осуществлять производство необходимых частей и строительных групп, справляясь с ситуацией напряженности между временем изготовления и качеством.
Способность работать в сети (ключевая компетенция консультационной компании Roland Berger) приобретает значение и для других предприятий и отраслей. Модернизируя традиционные алгоритмы создания добавленной стоимости, предприятия со временем получают возможность стратегического выбора между внутриорганизационным выполнением работы или аутсорсингом некоторых процессов на других предприятиях. Такая ломка традиций с одновременным переходом к новым архитектурам сотрудничества обозначается также как «деконструкция» и получает растущее значение для бывших вертикально интегрированных предприятий. Впоследствии это приводит к новому разделению труда между предприятиями, которое стирает существующие отраслевые границы и требует новых способностей от руководства. «Новые способности» заключаются в координации поперечно разделенного процесса получения добавленной стоимости через организационные и, возможно, отраслевые границы. Для этого требуется выраженная форма сетевой работы как ключевой компетенции. Каждый сотрудник должен помимо методических «твердых» техник разделенного планирования использовать «мягкие способности» к формированию культуры сетевой работы и доверительности.
Основные индивидуальные компетенции работников могут быть разделены на четыре группы: профессиональные, методические, социальные, личностные.
Профессиональные компетенции – это знания, которые работник получил и может предоставить в распоряжение предприятия.
Методические компетенции – это все технологии, которые способствуют использованию знания, полученного через профессиональную компетенцию.
Социальные компетенции – все ценностно-необходимые, не обусловленные работой выражения мнений по отношению к другим работникам.
Личностные компетенции (или самокомпетенции) охватывают такие составляющие, как саморефлексия,[92] самоконтроль, мотивация и эмпатия.[93] Называемые «элементами эмоциональной интеллигентности» они, по оценкам специалистов, для хозяйственной успешности предприятия важны так же, как профессиональные или методические компетенции. Наряду с психическими характеристиками к ним могут быть отнесены физические, например сопротивляемость стрессам, выносливость.
В зависимости от уровня работников, назначаемых для решения задач, классификации в своих структурных элементах и характеристиках должны становится адресно-направленными.
Приведенная в табл. 5.2 классификация[94] включает шесть групп компетенций. Согласно номинации групп она в большей степени ориентирована на управленческих работников.
Таблица 5.2