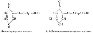
Наряду с веществами, стимулирующими рост растений, в настоящее время открыт целый ряд соединений, которые задерживают рост. Некоторые из них обладают довольно большой специфичностью действия, угнетая прорастание и рост определенных сорняков и не оказывая заметного действия на основную культуру. Среди подобных соединений, получивших название гербицидов (т.е. веществ, убивающих травы), можно отметить, например, феноксиуксусную кислоту и некоторые ее производные, как 2,4-дихлорфеноксиуксусную кислоту:

Наиболее эффективными для избирательной борьбы с сорняками в посевах злаковых культур являются препараты 2-метил-4-хлорфеноксиуксусной кислоты (2-М-4-Х) и 2,4-дихлорфеноксиуксусной кислоты (2,4-Д).
Изучение действия этих гербицидов на ста различных видах сорняков, показало, что примерно две трети испытанных видов сорняков уничтожались указанными гербицидами при дозах до 1 кг/га. Установлено, что различные сельскохозяйственные культуры весьма существенно отличаются друг от друга по восприимчивости к гербицидам. Наиболее стойкими являются зерновые культуры ‑ просо, овес, пшеница; крайне нестойкой оказалась свекла. Необходимо подчеркнуть, что так же, как и в случае описанных выше стимуляторов роста растений, данный гербицид при различных концентрациях может оказывать на одно и тоже растение противоположное действие ‑ стимулировать рост при одних концентрациях и угнетать его при других. Вместе с тем при одной и той же концентрации данный гербицид может стимулировать рост одних растений и угнетать рост других. Весьма интересным и мало изученным является вопрос о биохимической сущности действия на растение стимуляторов роста и гербицидов.
|
|
|
Очевидно, что эти соединения оказывают на растение определенное физиологическое действие путем влияния на то или иное звено в обмене веществ. Вместе с тем имеющиеся данные свидетельствуют о том, что различное отношение разных растений к одному и тому же гербициду обусловлено особенностями обмена веществ этого растения. Яркой иллюстрацией этого последнего положения являются результаты, полученные Р. Уэйном при изучении действия на различные растения гербицидов из ряда феноксиалкилкарбоновых кислот. Этот автор показал, что рост таких растений, как осот, горчица и крапива, угнетается феноксилалкилкарбоновыми кислотами с четным числом углеродных атомов в боковой цепи. Эти соединения в тканях указанных растений превращаются, в конечном счете, в 2,4-дихлорфеноксиуксусную кислоту, которая, как мы указывали выше, является сильно действующим гербицидом. Превращение это происходит под действием особого фермента — b-оксидазы, расщепляющей боковую цепь в b-положении.
|
|
|
На другие растения, как, например, на томаты, клевер и горох, феноксиалкилкарбоновые кислоты с 4 и 6 углеродными атомами в боковой цепи не действуют. Это объясняется отсутствием в таких растениях b-оксидазы, а следовательно, невозможностью образования в них 2,4-дихлорфеноксиуксусной кислоты.
Механизм гербицидного действия феноксиалкилкарбоновых кислот на растения, содержащие b-оксидазу, схематически представлен на рисунке 5.

Рисунок 5 — Механизм гербицидного действия феноксиалкилкарбоновых кислот:
2,4-Д — дихлорфеноксиуксусная кислота,
П — 2,4-дихлорфеноксипропионовая,
М — 2,4-дихлорфеноксимассляная,
В — 2,4-дихлорфеноксивалериановая,
К — 2,4-дихлорфеноксикапроновая,
Г — 2,4-дихлорфеноксигексановая.
Вторым очень хорошим примером, показывающим, что именно особенности состава и обмена веществ данного растения определяют его устойчивость или восприимчивость к тому или иному гербициду, является устойчивость кукурузы к симазину. Симазин представляет собою гербицид, широко применяемый для химической прополки посевов кукурузы. Совершенно не действуя на кукурузу, он уничтожает распространенные в ее посевах сорняки. Симазин является производным S-триазина, а именно представляет собою 2-хлор-4,6-бисэтиламино-S-триазин:

Оказалось, что сок, отжатый из растений кукурузы, разрушает симазин. Дальнейшие исследования показали, что это разрушение симазина происходит потому, что в растениях кукурузы содержится особое вещество, которое, реагируя с симазином, уничтожает его гербицидные свойства. Это вещество представляет собою 2,4-диокси-7-метокси-1,4-бензоксазин-3-он:

Таким образом, это специфическое вещество, содержащееся в растениях кукурузы, разрушая симазин, делает кукурузу невосприимчивой к этому гербициду.
Явление угнетения роста микроорганизмов различными химическими соединениями в настоящее время изучено очень хорошо и широко используется в медицине для борьбы с болезнетворными микробами. Весьма наглядным примером, хорошо иллюстрирующим действие этих веществ, является угнетение жизнедеятельности и роста многих болезнетворных микроорганизмов, так называемыми сульфамидными препаратами: протонзилом, сульфидином, стрептоцидом и др. Эти соединения по своей химической природе близки к пара-аминобензойной кислоте, необходимой в ничтожных количествах для роста и нормальной жизнедеятельности многих микробов.
Стрептоцид и другие сульфамидные препараты являются антагонистами пара-аминобензойной кислоты. По-видимому, угнетающее действие сульфамидных препаратов объясняется тем, что они, в силу их сходства с пара-аминобензойной кислотой, вступают вместо нее в соединение с каким-то ферментом или другим веществом, с которым обычно в процессе обмена веществ реагирует пара-аминобензойная кислота.
Ярким примером угнетения роста природным веществом, близким по своей структуре к соединению, играющему важную роль в обмене веществ, является действие канаванина ‑ аминокислоты, представляющей собою структурный аналог аргинина. Канаванин вызывает угнетение роста грибов, некоторых бактерий и высших растений, причем это угнетение носит конкурентный характер и может быть «снято» аргинином. Таким образом, совершенно очевидно, что канаванин как бы подменяет аргинин и, соединяясь с каким-то ферментом или веществом, блокирует определенное звено обмена веществ, вызывая тем самым угнетение роста.
Из изложенного ясно, что вещества, угнетающие рост высших растений, по характеру своего действия сходны с действием антивитаминов.
Лекция 10. Антибиотики и фитонциды
10.1 Общая характеристика антибиотиков
10.2 Отдельные представители антибиотиков
10.3 Фитонциды






