Общая характеристика антибиотиков
Антибиотиками называют некоторые вещества, выделяемые микроорганизмами, убивающие других микроорганизмов или угнетающие их рост.
Идея об использовании одних микроорганизмов для борьбы с другими была выдвинута в свое время великим русским микробиологом И.И. Мечниковым, предложившим использовать молочнокислых микробов для борьбы с гнилостной микрофлорой кишечника. Эта идея об использовании антагонизма микробов получила в настоящее время широчайшее распространение и применение в медицине. Руководствуясь этой идеей, микробиологи изучили многочисленные случаи антагонизма микробов и показали, что уничтожение или подавление одного микроорганизма другим часто связано с выделением этим последним определенного антибиотика.
Практическое применение антагонизма микробов для лечения болезней впервые было осуществлено в 1871–1872 гг. русскими учеными В.А. Манассеиным и А.Г. Полотебновым, описавшими лечебные свойства зеленой плесени Penicillium.
Число выделенных и исследованных антибиотиков в настоящее время очень велико (около 500). Некоторые из них, как, например, пенициллин, стрептомицин, тетрациклины и грамицидин, оказались исключительно эффективными при лечении ряда тяжелых заболеваний и нашли широчайшее применение в медицине. Эти антибиотики обладают исключительно мощным и специфическим антибактериальным действием, значительно превосходящим действие различных сульфамидных препаратов (например, сульфидина или стрептоцида). Чрезвычайно важным является то, что названные антибиотики в определенных концентрациях не ядовиты для человеческого организма.
Широкое применение антибиотиков в медицине вызвало к жизни большую отрасль биохимической промышленности, занимающуюся их изготовлением и очисткой.
По своей химической природе антибиотики принадлежат к самым различным классам химических соединений.
Пенициллин. Как показывает само название, пенициллин является антибиотиком, выделяемым некоторыми видами плесневого гриба Penicillium. Пенициллин был открыт и изучен английскими исследователями А. Флемингом, X. Флери и Дж. Чейном. Пенициллин является замечательным средством для борьбы с рядом микробов, вызывающих такие тяжелые заболевания, как, например, газовая гангрена.
В настоящее время пенициллин готовят в очищенном виде на специальных заводах, где образующие пенициллин виды плесени выращиваются в очень больших масштабах.
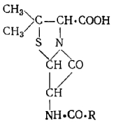
Исключительная практическая ценность пенициллина при лечении болезней вызвала энергичное изучение его химической структуры и свойств. В результате сложных, потребовавших огромных усилий и большого мастерства работ биохимиков и химиков-органиков удалось расшифровать строение молекулы пенициллина. Его структурная формула представлена ниже:

Пенициллин представляет собой одноосновную кислоту. Так как свободная кислота в водном растворе легко разлагается, то в медицине обычно применяются натриевая или калиевая соли пенициллина, значительно более устойчивые и легче растворяющиеся в воде.
Оказалось, что строение пенициллина может несколько изменяться в зависимости от вида плесени, из которой он получен, и в зависимости от условий ее выращивания. Таким образом, говорят о группе веществ, называемых пенициллинами.
Изменение химической структуры пенициллина проявляется в том, что различные варианты пенициллина различаются характером радикала R. В настоящее время установлено строение четырёх основных природных вариантов пенициллина, в молекулах которых содержатся различные радикалы. Ряд производных пенициллина, обладающих особыми лечебными свойствами, получен за последнее время синтетическим и биосинтетическим путем.
Действие пенициллина на микроорганизмы связано с нарушением процесса образования клеточной стенки. Пенициллин инактивирует ферменты, катализирующие синтез мукопептидного полимера, обусловливающего прочность клеточной стенки.
Широчайшее применение пенициллина в медицине вызвало появление в природе устойчивых к пенициллину штаммов микроорганизмов.
Путем введения различных химических группировок в молекулу пенициллина можно получить его производные, которые обладают антибактериальным действием и убивающие все штаммы стафилококков, устойчивые к обычному, «классическому» пенициллину:
Стрептомицин. Стрептомицин является антибиотиком, выделяемым живущим в почве лучистым грибком, называемым Actinomyces globisporus streptomycini.

Стрептомицин, изготовляется в настоящее время на специальных заводах и с успехом применяется для лечения некоторых форм туберкулеза и особенно туберкулезного менингита. По своей химической природе стрептомицин представляет собой соединение азотистого основания стрептидина с азотсодержащим дисахаридом — стрептобиозамином. Стрептомицин связывается рибосомами микроорганизмов и подавляет синтез белка.
Грамицидин. Этот антибиотик, в отличие от пенициллина и стрептомицина, выделяется не плесенью или лучистым грибом, а живущей в почве бактерией Bacillus brevis. Грамицидин был открыт в 1942 г. Г.Ф. Гаузе и М.Г. Бражниковой. В настоящее время он применяется в медицине при лечении и профилактике нагноительных процессов. Химические исследования показали, что советский грамицидин представляет собой так называемый циклопептид, т.е. полипептид, имеющий не линейную, а циклическую (замкнутую) структуру. В его состав входят остатки следующих аминокислот: валина, орнитина, лейцина, фенилаланина и пролина.
Структура молекулы грамицидина, такова:

Левомицетин (хлоромицетин, хлорамфеникол). Этот антибиотик образуется в культурах одного из актиномицетов, названного Actinomyces venezuelae.
Он оказался весьма эффективным при борьбе с инфекционными заболеваниями, вызываемыми некоторыми вирусами и грам-отрицательными микробами (например, сыпным и брюшным тифом). Отличительной особенностью левомицетина является наличие в нем хлора и нитрогруппы NO2. Левомицетин имеет следующее строение:

В настоящее время левомицетин получают синтетическим путем. Действие левомицетина связано с тем, что в клетках микроорганизмов он подавляет синтез белка.
Тетрациклины. К этой группе антибиотиков относятся тетрациклин, хлор тетрациклин (ауреомицин, биомицин) и окситетрациклин (террамицин). Тетрациклины действуют как на грам-положительных, так и на грам-отрицательных бактерий. Исходным антибиотиком этой группы является тетрациклин, имеющий следующее строение:

Антибиотики тетрациклиновой группы применяются в животноводстве, так как их добавка к корму стимулирует рост животных.
Ауреомицин, террамицин и другие антибиотики, сходные с ними по строению, по-видимому, нарушают у микробов синтез белка и обмен магния.
Макролиды. Некоторые актиномицеты образуют антибиотики, принадлежащие к классу природных соединений, получивших название макролиды.
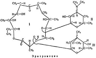
В основе строения подобных соединений лежит макроциклическое лактонное кольцо (макролид). Примером антибиотиков-макролидов является эритромицин, получивший широкое применение в медицине.

Как видно из структурной формулы эритромицина, в его молекуле макроциклическое лактонное кольцо (I) связано с остатками двух сахаров ‑ дезозамина (II) и кладинозы (III).
Необходимо подчеркнуть, что, кроме стрептомицина, террамицина, ауреомицина и хлоромицетина, в настоящее время открыто значительное число антибиотиков, образуемых различными актиномицетами. Эти антибиотики представляют большой интерес. Их исследование с целью их использования в медицине, ветеринарии, для борьбы с заболеваниями растений и для предохранения от порчи различных пищевых продуктов является чрезвычайно заманчивой и важной задачей.
Актиномицин D является представителем антибиотиков, нарушающих обмен нуклеиновых кислот. Реагируя с 2-аминогруппой гуаниновых остатков в ДНК, актиномицин D прекращает синтез рибосомной и информационной РНК.

Актиномицин D применяется в медицине для лечения некоторых видов злокачественных опухолей. Однако применение ограничено его высокой токсичностью. В то же время этот антибиотик очень широко используется в биохимических исследованиях как избирательный ингибитор синтеза РНК в микробной, растительной и животной клетке.
Другой антибиотик, нарушающий обмен нуклеиновых кислот, ‑ митомицин С проникает в пространство между комплементарными спиралями ДНК и образует между ними прочную поперечную связь. Митомицин С является ингибитором синтеза ДНК.
Интересная особенность данного антибиотика заключается в том, что после проникновения в клетку, он переходит в восстановленную (гидрохиноновую) форму под влиянием внутриклеточных ферментов и лишь затем реагирует с ДНК.
Митомицин С подобно актиномицину D обладает высокой токсичностью, что ограничивает его применение в медицинской практике при лечении злокачественных опухолей. Весьма широко митомицин С используется в лабораторных исследованиях для решения ряда вопросов биохимической генетики и вирусологии.
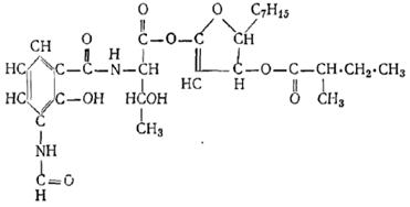
Хорошим примером, указывающим на перспективность практического применения антибиотиков в растениеводстве, является антимицин, выделенный из некоторых видов актиномицетов. Антимицин представляет собой смесь нескольких веществ и является чрезвычайно активным антибиотиком против грибов. Так, например, антимицин при разведении, достигающем 1 на 50 000 000, полностью угнетает рост некоторых грибов, являющихся вредителями сельскохозяйственных растений (лука, риса, гороха и др.).
Антимицин имеет следующее строение:

Различные формы антимицина отличаются друг от друга структурой боковой цепи ‑ С7Н15.
Полевые опыты показали, что антимицин весьма эффективен при борьбе с грибными заболеваниями риса и винограда. При исследовании механизма действия антимицина было установлено, что он является чрезвычайно мощным и специфическим ингибитором ферментативных систем, контролирующих поглощение кислорода. Поэтому он применяется в биохимии в тех случаях, когда необходимо подавить процесс дыхания или окисления кислородом каких-либо веществ (например, янтарной кислоты, органических кислот цикла Кребса).