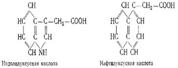
В настоящее время открыт ряд соединений, стимулирующих рост растений или отдельных их органов, например корней. Исследование стимуляторов роста растений началось с наблюдений, сделанных Чарлзом Дарвином и рядом ботаников при изучении закономерностей роста колеоптилей овса. Эти наблюдения привели к выводу о том, что в клетках, находящихся у самого окончания колеоптиля, содержатся какие-то вещества, сильно ускоряющие растяжение клеток и их рост. Эти вещества называются ауксины. Важнейшее из них получило название гетероауксина и представляет собой b-индолил-уксусную кислоту (ИУК). ИУК применяется в сельском хозяйстве для ускорения образования корней у черенков различных растений, например цитрусовых, и их более быстрого укоренения. В настоящее время синтезирован ряд ауксинов так же, как и ИУК очень сильно ускоряющих образование корней у растений. Особенно большой активностью в этом отношении обладает b -нафтилуксусная кислота.

ИУК, нафтилуксусная кислота и другие стимуляторы роста растений действуют в весьма малых концентрациях. Например, ускорение образования корней у черенков достигается при обработке этих последних растворами ИУК в концентрации 1:10000–1:100000. ИУК может образовываться путем окисления триптофана.
|
|
|
Действие ИУК стимулируется рядом веществ: хлорогеновой кислотой, глутатионом, кверцетином и его производными ‑ кверцитрином и рутином. Некоторые другие вещества растительного происхождения, как, например, кумаровая кислота и кумарин, наоборот, ослабляют действие ИУК. Оказалось, что дело заключается в том, что вещества, подобные хлорогеновой кислоте, т.е. стимулирующие действие ИУК, угнетают особый разрушающий его фермент ‑ оксидазу индолилуксусной кислоты. Наоборот, вещества типа кумарина стимулируют действие этого фермента и таким образом ослабляют физиологическое действие индолилуксусной кислоты.
Ферментная система, окисляющая ИУК, найдена в тканях многих растений, например в этиолированных растениях гороха. Она содержит флавопротеид, участвующий в образовании перекиси водорода, и фермент пероксидазу, который с помощью Н2О2 окисляет ИУК в физиологически неактивный 3-метиленоксиндол:

ИУК легко вступает в комплексы с белками, аминокислотами, сахарами и фенолами, образуя физиологически инертные продукты, которые, как полагают, представляют собой формы запаса гормона в покоящихся и слаборастущих частях растений.
В ряде стран, в которых распространена культура риса, широко известно заболевание молодых растений риса, вызываемое грибом Gibberella fujikuroi, который представляет собой половую форму (стадию) гриба Fusarium moniliforme.
|
|
|
При этом заболевании наряду с гибелью большинства растений обнаруживается очень быстрый рост стеблей и листьев у части молодых растений. Это ускорение роста вызывается соединениями, представляющими собой продукты обмена веществ гриба. Эти вещества были выделены из культуры гриба в чистом виде и получили название гиббереллинов.
Они оказывают мощное стимулирующее действие на рост и накопление сухой массы не только риса, но и многих других растений.
Из культуры гриба Gibberella fujikuroi и из высших растений выделено 24 гиббереллина, обозначаемых A 1, A 2, A 3, A 4, A 5, A 6, A 7, A 8, A 9 и т.д.
Гиббереллины представляют собой терпеноиды и поэтому, как и для всех терпеноидов, исходными соединениями для их биосинтеза являются ацетат (вернее радикал ацетила СН3СО-) и мевалоновая кислота.
Замечательным свойством гиббереллинов является их способность стимулировать цветение растений, принадлежащих к так называемым растениям длинного дня, цветение которых ускоряется на севере. Влияние гиббереллина на развитие и цветение таких растений наглядно иллюстрируется на рисунке 3.

Рисунок 3 — Влияние гиббереллина на развитие и цветение моркови:
слева — контроль, справа — растение, обработанное
гиббереллином.
Они успешно применяются для ускорения прорастания ячменя при изготовлении солода и для повышения урожайности бескосточковых сортов винограда.
В отношении ячменя показано, что гиббереллины стимулируют синтез a-амилазы в прорастающем зерне, по-видимому, индуцируя синтез специфических информационных РНК на ДНК.
В настоящее время усиленно изучается вопрос о том, на какие биохимические процессы, на какие звенья обмена веществ влияют гиббереллины. Возможно, что их действие, по крайней мере в случае ускорения цветения, связано с функцией открытого в растениях светочувствительного белка, получившего название фитохром.
В состав фитохрома, как и в состав многих ферментов, входит собственно белковая часть и фотоактивная хромофорная группа, состоящая из ряда сопряженных пиррольных колец.
С фитохромом связаны важнейшие процессы и ряд свойств высших растений ‑ фотопериодизм, прорастание и цветение. Фитохром был открыт в 1952 г. американскими физиологами Г. Бортником и С. Гендриксом.
Этот светочувствительный белок существует в растениях в двух легко взаимопревращающихся формах. Одна из них PR имеет максимум поглощения света приблизительно при 665 ммк, а другая форма PFR — при 725 ммк. Обе формы фитохрома превращаются друг в друга под действием лучей определенной длины волны в соответствии со схемой:

Путем хроматографии на колонках из фосфата кальция и сефадекса, а также электрофореза и гелевой фильтрации из этиолированных проростков овса удалось выделить фитохром и очистить его в 750 раз. На рисунке 4 представлены спектры поглощения обеих форм высокоочищенного фитохрома.

Рисунок 4— Спектры поглощения фитохрома:
1 — форма, поглощающая красные лучи;
2 — форма, поглощающая в дальней красной области.
Молекулярный вес фитохрома равен приблизительно 42 000, но белок способен к агрегации с образованием более высокомолекулярных форм. Аминокислотный состав белка фитохрома характеризуется высоким содержанием аспарагиновой и глютаминовой кислот, которые, видимо, присутствуют главным образом в виде амидов, а также высоким содержанием серина, аланина и лейцина.
В молекуле фитохрома содержится, по-видимому, 10–11 сульфгидрильных групп.
Хромофорная группа фитохрома содержит систему конъюгированных двойных связей, которая может изменяться под влиянием освещения.
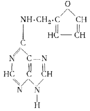
За последние годы открыт ряд соединений, оказывающих сильное стимулирующее действие на деление растительных клеток. Эта группа стимуляторов роста получила название цитокинины. К числу особенно активных веществ из группы цитокининов относится кинетин, представляющий собой 6-фурфурилметиламинопурин:
|
|
|

В незрелых семенах кукурузы найден цитокинин, названный цеатином и имеющий следующую структуру:

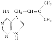
Чрезвычайно активным цитокинином является 6-(g,g-диметилаллил)-аминопурин:

Интересно, что 6-(g,g-диметилаллил)-аминопурин входит в состав некоторых транспортных РНК в качестве минорного основания. Поэтому предполагают, что физиологическое действие цитокининов связано с обменом нуклеиновых кислот и процессом биосинтеза белка в клетке.
Весьма активным соединением из группы цитокининов является дифенилмочевина, выделенная из кокосового «молока», которое, как известно, является сильным стимулятором деления растительных клеток:

В растениях обнаружен ряд соединений, задерживающих их рост и развитие. Эти соединения объединяют общим термином ‑ природные ингибиторы роста. Представителем этой группы соединений является абсцизовая кислота, выделенная из незрелых плодов хлопчатника.
Это соединение является изопреноидом и имеет следующее строение:

Природные ингибиторы, по-видимому, принимают участие в сложном взаимодействии с гетероауксином и его аналогами, а также с гиббереллинами. Установлено, что абсцизовая кислота ингибирует активность a-амилазы в эндосперме ячменя, обработанного предварительно гиббереллином. Это указывает на то, что она может функционировать в живой растительной клетке как антагонист гиббереллина. Синтезированы специальные ингибиторы, структурные антиметаболиты гиббереллинов – морфактины ‑ и физиологические антагонисты ‑ ретарданты.
Очень мало известно относительно конкретных биохимических механизмов, лежащих в основе физиологического действия того или иного стимулятора роста. Однако совершенно очевидно, что стимулирующее действие, так же как и угнетение роста под влиянием антивитаминов, гербицидов и антибиотиков, теснейшим образом связано с определенными изменениями в обмене веществ.
|
|
|
Одной из первичных реакций растения на стимулятор роста может являться биосинтез специфических т-РНК, составляющих лишь небольшую часть от общего количества РНК, остающегося неизменным. Синтез новых, специфических РНК, включение отдельных фрагментов стимуляторов в молекулу РНК может быть одним из механизмов активации роста.