Способ равных допусков.
Если сумма допусков не равна сумме допусков одного звена
Способ допусков одного квалитета.
На размеры всех составляющих звеньев, кроме увязочного назначается допуски из одного квалитета с учетом номинального размера звена. На охватывающие размеры (отверстия) допуски назначаются: Н. На охватываемые (валы) – h. На линейные размеры – js.

По коэффициенту а определяется квалитет, таким образом все элементы одного квалитета на разные допуски из-за номинального размера.
Если допустить неполную взаимозаменяемость, т.е. допустить выбор, подбор или изменение величины некоторых звеньев цепи, от можно расширить в несколько раз допуски звеньев и соответственно снизить затраты за счет непринятия в расчет маловероятностных комбинаций числовых значений тех же звеньев цепи. Для вероятностного расчета допусков нужно располагать информацией о предполагаемых законах распределения вероятностных составляющих звеньев. Эта информация получается при наблюдении, сборе данных о рассеивании размеров детали. Чаще всего распределение замыкающего звена и составляющих звеньев подчиняется закону Гаусса и расчет основных характеристик ведётся методами математической статистики.
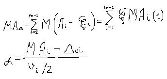
На основании теоремы о математическом ожидании суммы случайных величин из формулы получаем:

Вводим для упрощения коэффициент асимметрии, где
координата середины поля допуска, Vi - ширина поля рассеивания i звена, равная допуску. Тогда:

Координаты середины поля, ширина поля рассеивания, коэффициент относительной ассиметрии замыкающего звена.
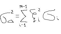
На основании центральной предельной теоремы можно считать закон распределения замыкающего звена близким закону Гаусса и

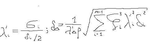
Получаем формулу вероятностного метода расчета

На основе теоремы

Вводя для упрощения коэффициент относительного упрощения, получаем

Коэффициент риска выбирается из таблицы значения функций Лапласа

Взависимости от принятго риска р распределения замыкающего звена и составляющих звеньев подчиняются закону Гаусса

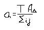
Среднее значение допуска составляющих звеньев δср вычисляется по формуле:







