Методика расчета базируется на теоремах теории вероятности и математической статистики. Сущность расчета состоит в установлении ответственных размеров определении оптимальных допусков и предельных отклонений всех размеров цепи для обеспечения выполнения эксплуатационных и технологических требований при изготовлении и сборке.
Основные термины стандартизованы ГОСТ 16319-80.
Размерная связь деталей – взаимосвязь размеров и их допустимых отклонений, регламентирующая расположение поверхностей и осей как одной детали, так и нескольких деталей в узле.

Размерная цепь – совокупность размеров, образующих замкнутый контур и непосредственно участвующих в решении поставленных задач. Размерная цепь состоит из звеньев. Необходимое условие для составления и анализа размерной цепи – условие замкнутости.
Звенья размерной цепи подразделяются на составляющие и замыкающие. Замыкающее звено является исходным при постановке задач и получается последним в результате решения размерной цепи. Замыкающее звено может быть положительным, отрицательным или равным нулю.
Составляющее звено – звено размерной цепи, изменение которого вызывает изменение исходного или замыкающего звена. Составляющие звенья подразделяются на увеличивающие или уменьшающие. Увеличивающие – если с увеличением составляющего звена увеличивается размер исходного или замыкающего звена.
Уменьшающие– если с уменьшением составляющего звена уменьшается размер исходного или замыкающего звена. Компенсирующее звено – предварительно выбранное звено размерной цепи, изменение размера которого достигается требуемая точность замыкающего звена.
Эксплуатационные свойства собранного изделия зависят от замыкающего звена цепи. Именно поэтому для замыкающего звена должны быть установлены все необходимые параметры: Номинальное значение, предельные отклонения. Расчет этих величин осуществляется следующими методами:
- Метод полной взаимозаменяемости,
- Метод неполной взаимозаменяемости.
- Метод групповой взаимозаменяемости,
- Метод пригонки,
- Метод регулирования.
В теории решения размерных цепей рассматриваются две задачи- прямая и обратная.
Прямая – проектный расчет по установленным размерам отклонений допусков исходного и замыкающего звена определяются предельные размеры, предельные отклонения, допуски составляющие звенья.
Обратная – по установленным размерам допусков составляющих звенья определяется номинальный размер предельные отклонения, поле допуска и предельные отклонения замыкающего звена.
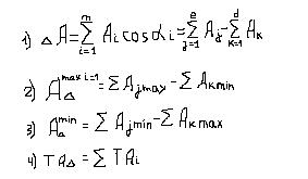
Метод полной взаимозаменяемости подразумевает, что требуемая точность замыкающего звена достигается у всех деталей путем включения в размерную цепь составляющих звеньев без выбора, без подбора и без изменения их значений. Допуски составляющих детали рассчитывают методом максимума и минимума. Расчет основана положении замкнутости размерной цепи. Согласно известной теореме о проекциях направленных составляющих отрезков и замыкающего отрезка на ось получаем выражение для замыкающего звена:

Метод максимумов и минимумов применяют в 2-х способах: Способ равных допусков и допусков 1-го квалитета. Данный способ применяется если номинальный размер составляющих звеньев размерной цепи составляется в одном интервале. В этом случае на составляющие звенья назначают примерно одинаковые допуски, но при этом назначаются примерно одинаковые допуски, руководствуясь средним допуском:

По найденному значению TМ устанавливают допуски на составляющие размеры, учитывая при этом величину и ответственность каждого размера при этом должны соблюдаться следующие условия:
- Принятые допуски должны соответствовать стандартным допускам.
- Сумма допусков составляющих звеньев должна ровняться допуску замыкающего звена

Если условие не выполняется то на один составляющий размер называемым увязочным назначается нестандартный допуск, который вычисляется по формуле:







